Официальное опубликование правовых актов
ОФИЦИАЛЬНОЕ ОПУБЛИКОВАНИЕ
Приказ Министерства лесного комплекса Вологодской области от 08.10.2025 № 1214
"О внесении изменений в лесохозяйственный регламент Вожегодского лесничества Вологодской области"
(Зарегистрирован 08.10.2025 № 1214)
Номер опубликования: 3501202510080014
Дата опубликования: 08.10.2025
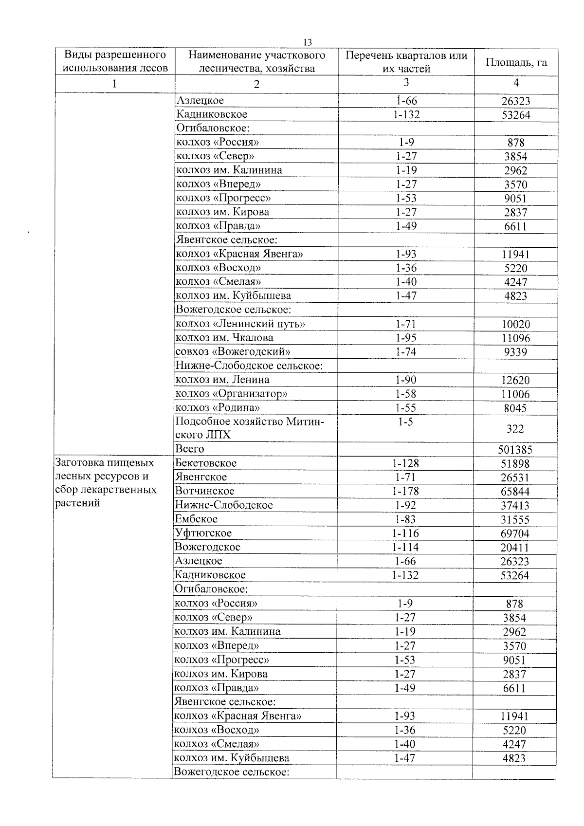
Страница №13 из 34:
Увеличить