Официальное опубликование правовых актов
ОФИЦИАЛЬНОЕ ОПУБЛИКОВАНИЕ
Приказ Главного управления охраны объектов культурного наследия Вологодской области от 15.12.2025 № 17-О/01-12
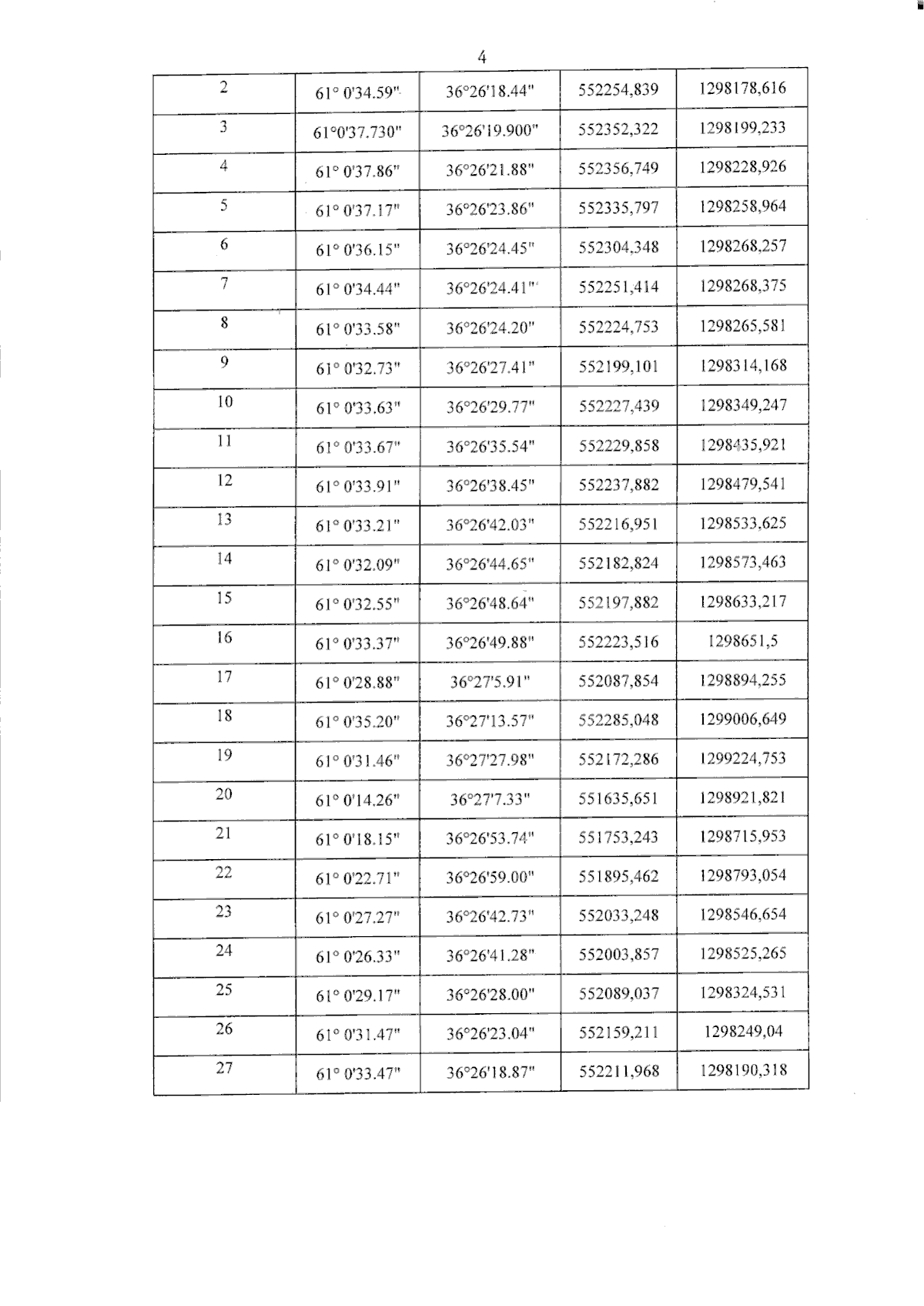
"О включении в перечень выявленных объектов культурного наследия объекта археологического наследия "Культурный слой г. Вытегры XV-XIX вв."
(Зарегистрирован 15.12.2025 № 17-О/01-12)
Номер опубликования: 3501202512150015
Дата опубликования: 15.12.2025
Страница №4 из 6:
Увеличить