Официальное опубликование правовых актов
ОФИЦИАЛЬНОЕ ОПУБЛИКОВАНИЕ
Приказ Министерства экономического развития, промышленности и торговли Вологодской области от 17.12.2025 № 0377/25-О
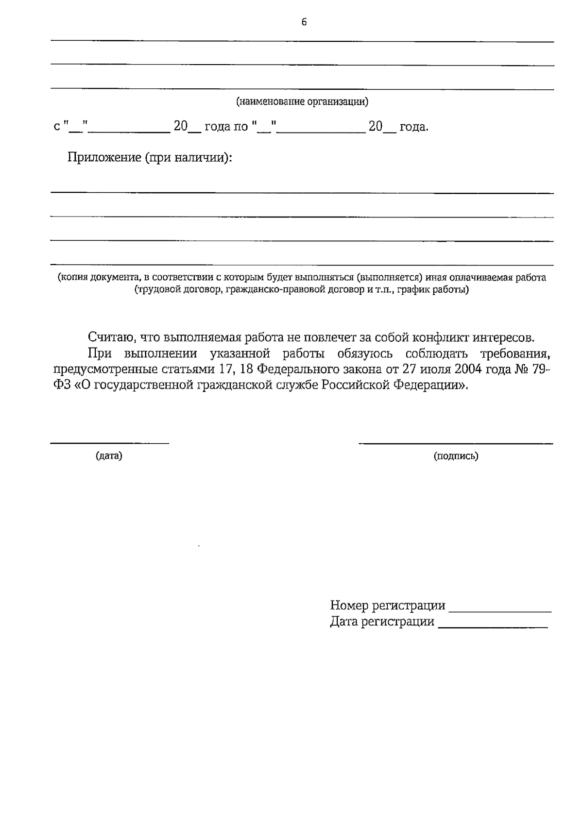
"Об утверждении Положения о порядке уведомления государственными гражданскими служащими области в Министерстве экономического развития, промышленности и торговли области представителя нанимателя о намерении выполнять иную оплачиваемую работу, о выполнении иной оплачиваемой работы"
(Зарегистрирован 17.12.2025 № 0377/25-О)
Номер опубликования: 3501202512170006
Дата опубликования: 17.12.2025
Страница №6 из 7:
Увеличить