Официальное опубликование правовых актов
ОФИЦИАЛЬНОЕ ОПУБЛИКОВАНИЕ
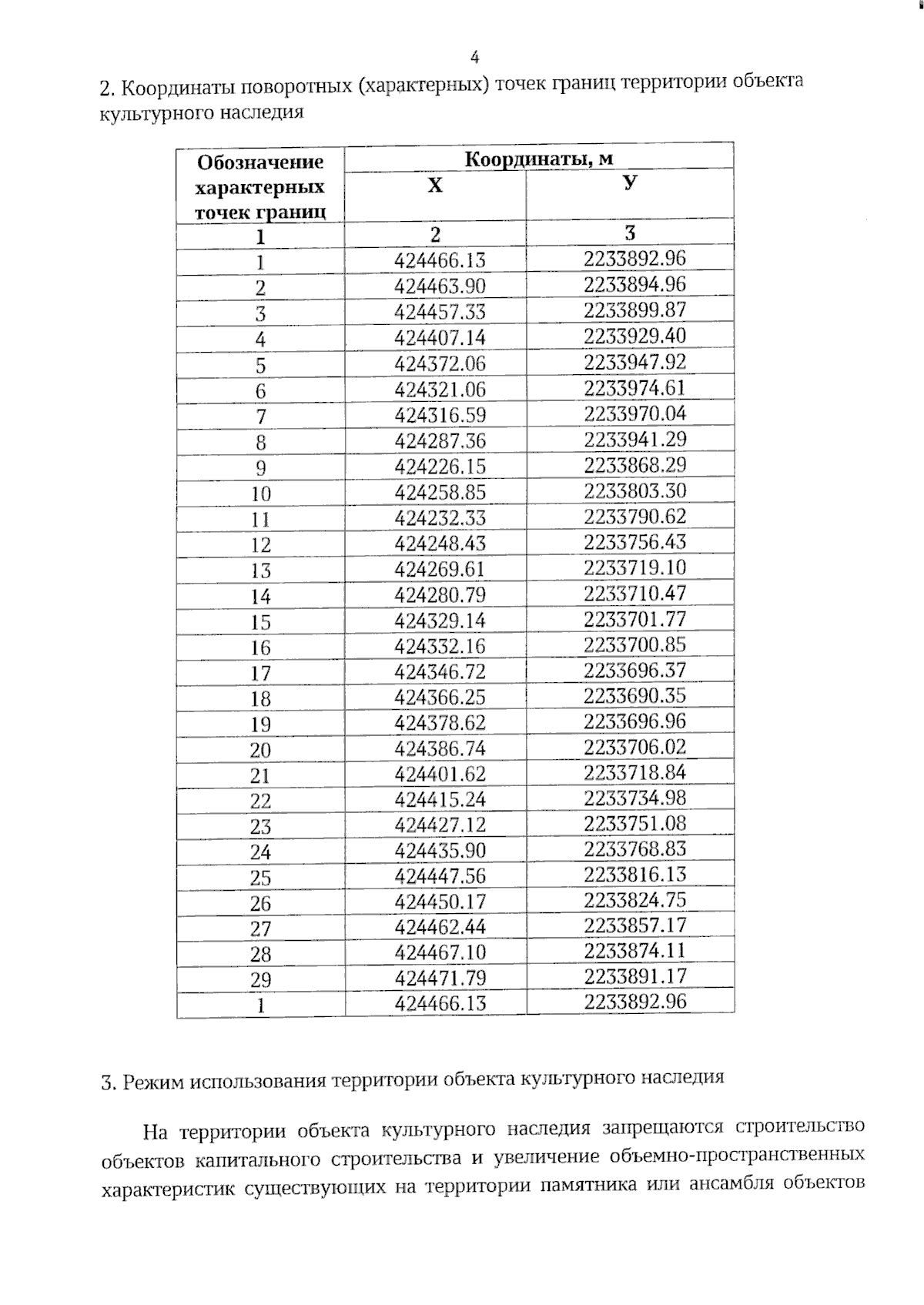
Приказ Главного управления охраны объектов культурного наследия Вологодской области от 21.01.2026 № 1-О/01-07
"О внесении изменений в приказ Комитета по охране объектов культурного наследия области от 16 октября 2023 года № 28-О/01-07"
(Зарегистрирован 21.01.2026 № 1-О/01-07)
Номер опубликования: 3501202601210004
Дата опубликования: 21.01.2026
Страница №4 из 5:
Увеличить