Официальное опубликование правовых актов
ОФИЦИАЛЬНОЕ ОПУБЛИКОВАНИЕ
Приказ Министерства имущественных отношений и градостроительной деятельности Вологодской области от 05.02.2026 № 6-н
"О внесении изменений в приказ Министерства имущественных отношений и градостроительной деятельности Вологодской области от 19.11.2024 № 105-н"
(Зарегистрирован 05.02.2026 № 6-н)
Номер опубликования: 3501202602060001
Дата опубликования: 06.02.2026
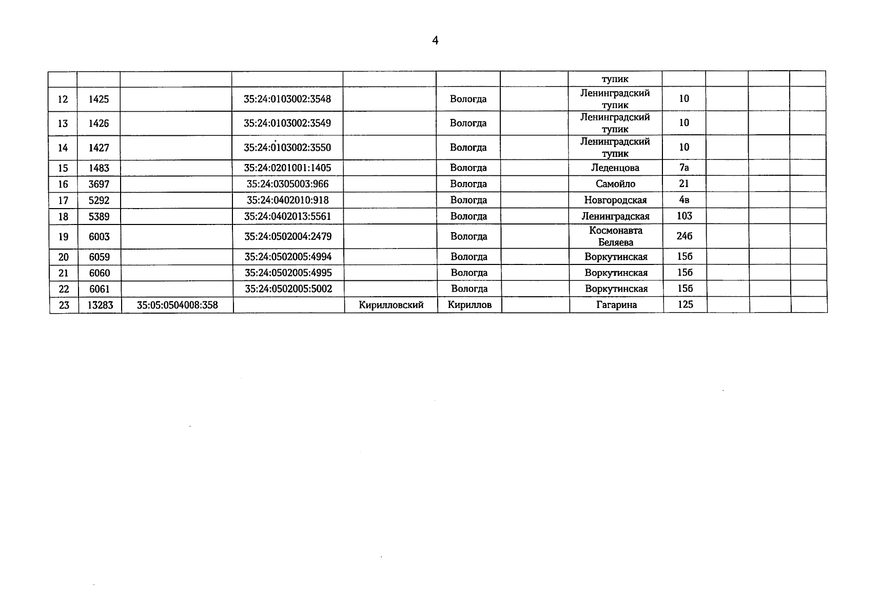
Страница №4 из 4:
Увеличить