Приказ Министерства энергетики, коммунальной инфраструктуры и тарифного регулирования Вологодской области от 09.02.2026 № 29-р
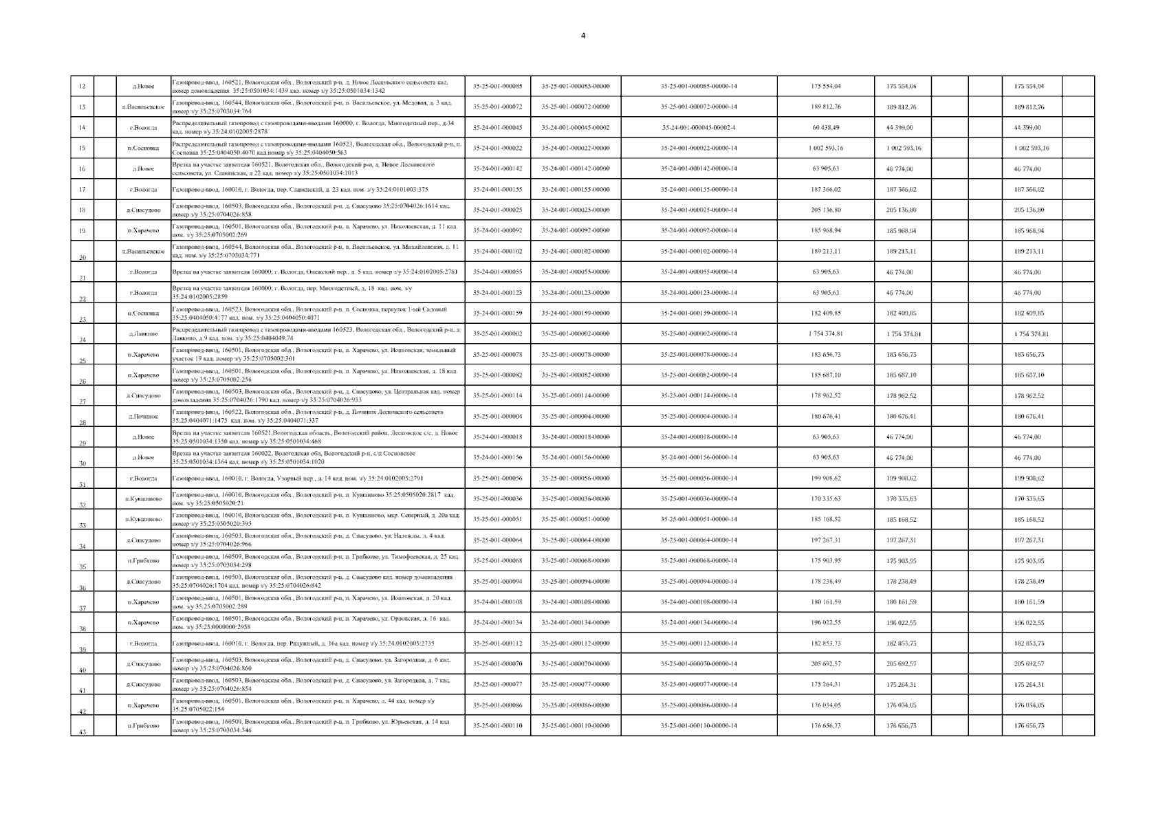
"Об утверждении размера экономически обоснованных расходов ООО "СЕВЕРГАЗЭКСПЛУАТАЦИЯ" на выполнение мероприятий по технологическому присоединению газоиспользующего оборудования к газораспределительным сетям в рамках догазификации и в рамках догазификации котельных за 4 квартал 2025 года"
(Зарегистрирован 09.02.2026 № 29-р)
"Об утверждении размера экономически обоснованных расходов ООО "СЕВЕРГАЗЭКСПЛУАТАЦИЯ" на выполнение мероприятий по технологическому присоединению газоиспользующего оборудования к газораспределительным сетям в рамках догазификации и в рамках догазификации котельных за 4 квартал 2025 года"
(Зарегистрирован 09.02.2026 № 29-р)
Номер опубликования: 3501202602090004
Дата опубликования:
09.02.2026
