Официальное опубликование правовых актов
ОФИЦИАЛЬНОЕ ОПУБЛИКОВАНИЕ
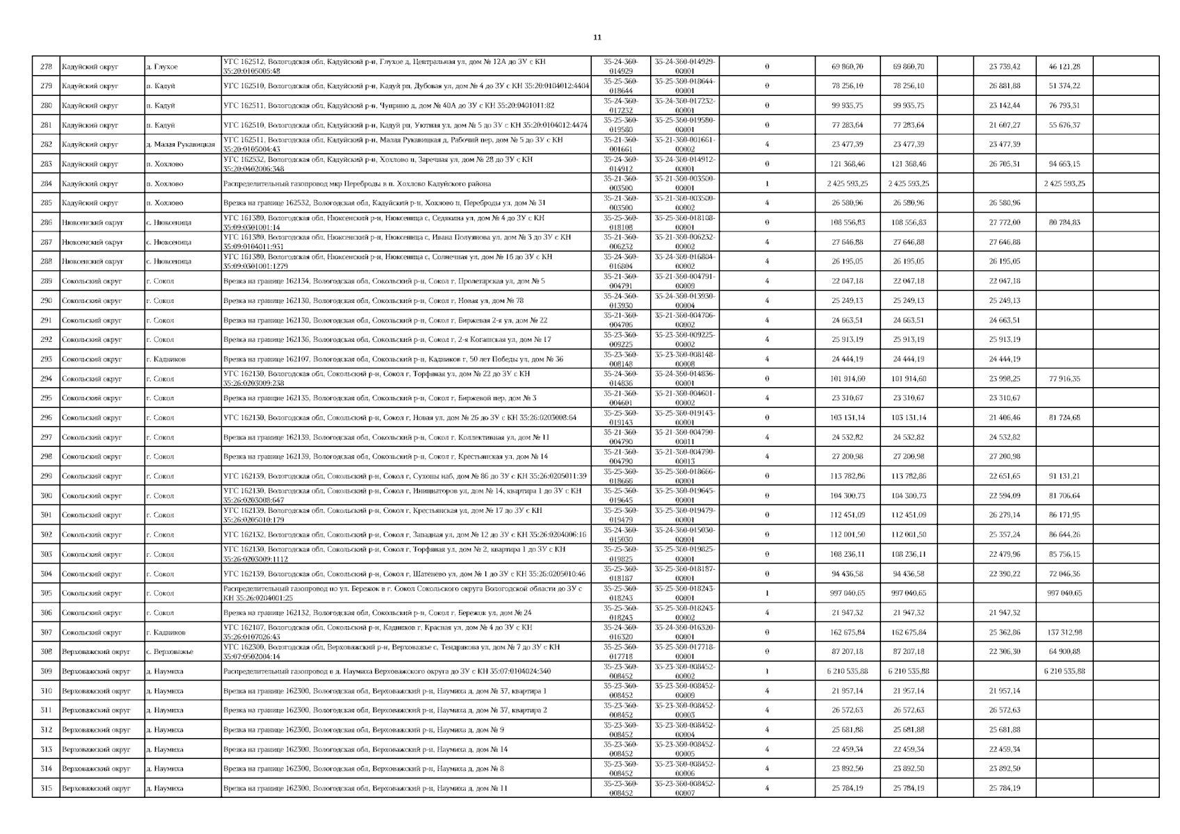
Приказ Министерства энергетики, коммунальной инфраструктуры и тарифного регулирования Вологодской области от 16.03.2026 № 48-р
"Об утверждении размера экономически обоснованных расходов АО "Газпром газораспределение Вологда" на выполнение мероприятий по технологическому присоединению газоиспользующего оборудования к газораспределительным сетям в рамках догазификации и в рамках догазификации котельных за 4 квартал 2025 года"
(Зарегистрирован 16.03.2026 № 48-р)
Номер опубликования: 3501202603160003
Дата опубликования: 16.03.2026
Страница №11 из 47:
Увеличить