Официальное опубликование правовых актов
ОФИЦИАЛЬНОЕ ОПУБЛИКОВАНИЕ
Приказ Министерства имущественных отношений и градостроительной деятельности Вологодской области от 14.04.2026 № 29-н
"О внесении изменений в приказ Министерства имущественных отношений и градостроительной деятельности Вологодской области от 17.11.2025 № 159-н"
(Зарегистрирован 14.04.2026 № 29-н)
Номер опубликования: 3501202604170003
Дата опубликования: 17.04.2026
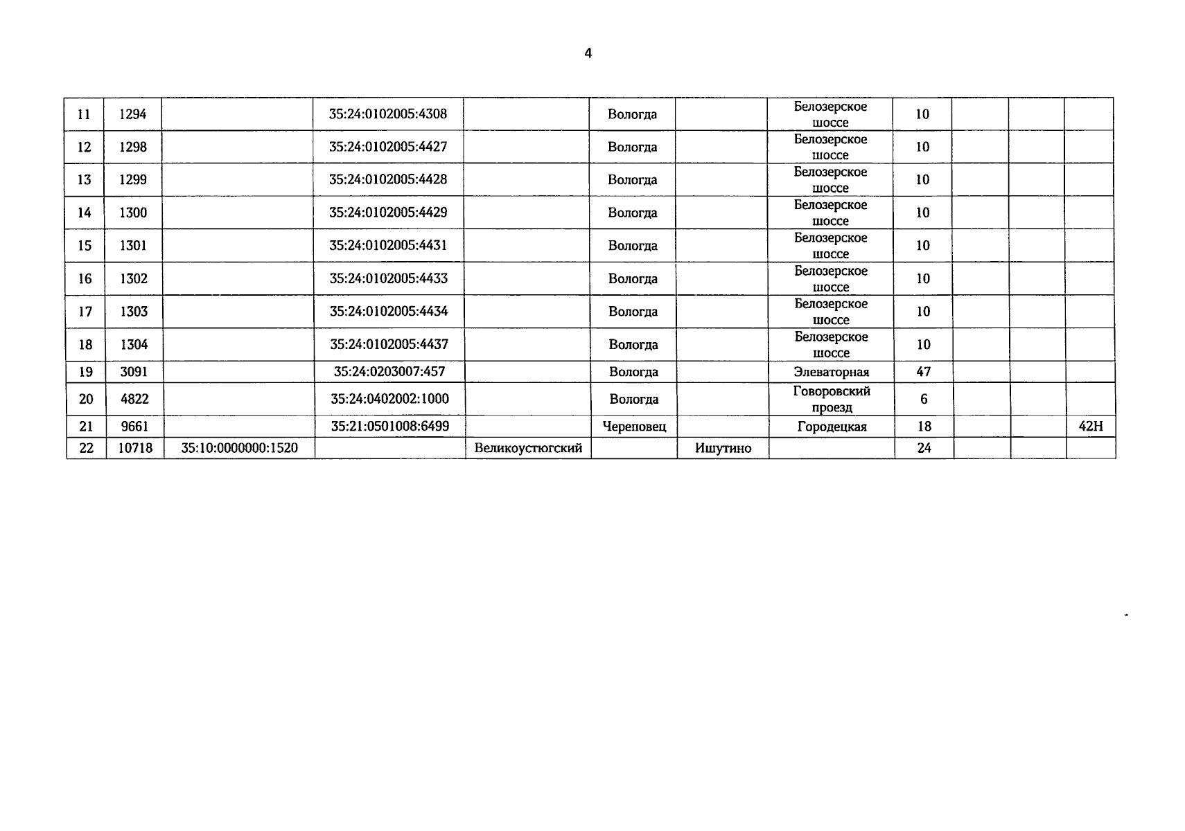
Страница №4 из 4:
Увеличить