Официальное опубликование правовых актов
ОФИЦИАЛЬНОЕ ОПУБЛИКОВАНИЕ
Закон Воронежской области от 13.04.2015 № 44-ОЗ
"О внесении изменений в отдельные законодательные акты Воронежской области"
Номер опубликования: 3600201504150008
Дата опубликования: 15.04.2015
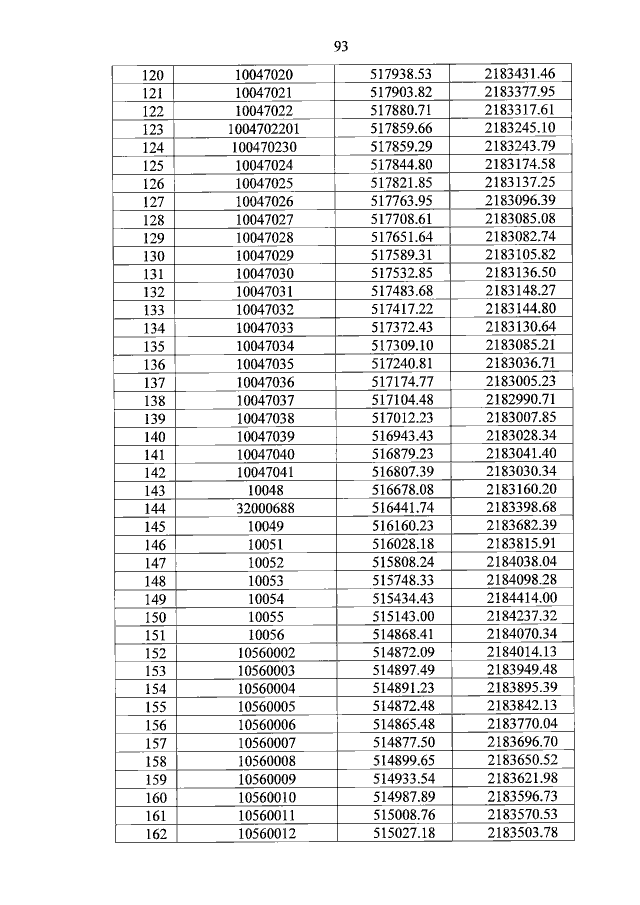
Страница №93 из 142:
Увеличить