Официальное опубликование правовых актов
ОФИЦИАЛЬНОЕ ОПУБЛИКОВАНИЕ
Закон Воронежской области от 04.06.2015 № 77-ОЗ
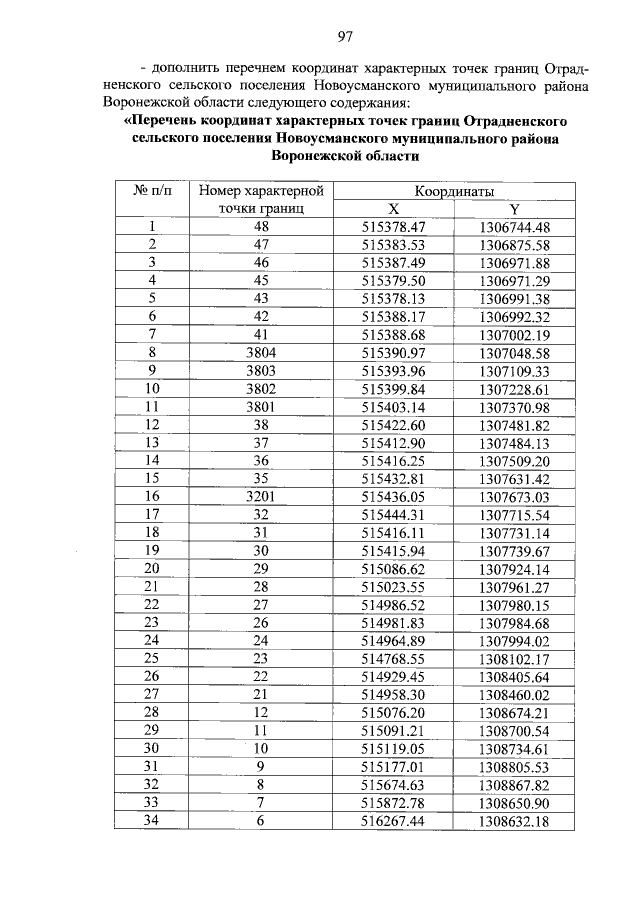
"О внесении изменений в отдельные законодательные акты Воронежской области в связи c изменением границ некоторых муниципальных образований Воронежской области"
Номер опубликования: 3600201506050001
Дата опубликования: 05.06.2015
Страница №97 из 161:
Увеличить