Официальное опубликование правовых актов
ОФИЦИАЛЬНОЕ ОПУБЛИКОВАНИЕ
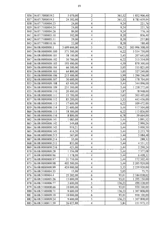
Постановление правительства Воронежской области от 11.12.2015 № 969
"Об утверждении результатов определения кадастровой стоимости земельных участков в составе земель промышленности, энергетики, транспорта, связи, радиовещания, телевидения, информатики, земель для обеспечения космической деятельности, земель обороны, безопасности и земель иного специального назначения Воронежской области"
Номер опубликования: 3600201512160008
Дата опубликования: 16.12.2015
Страница №21 из 119:
Увеличить