Официальное опубликование правовых актов
ОФИЦИАЛЬНОЕ ОПУБЛИКОВАНИЕ
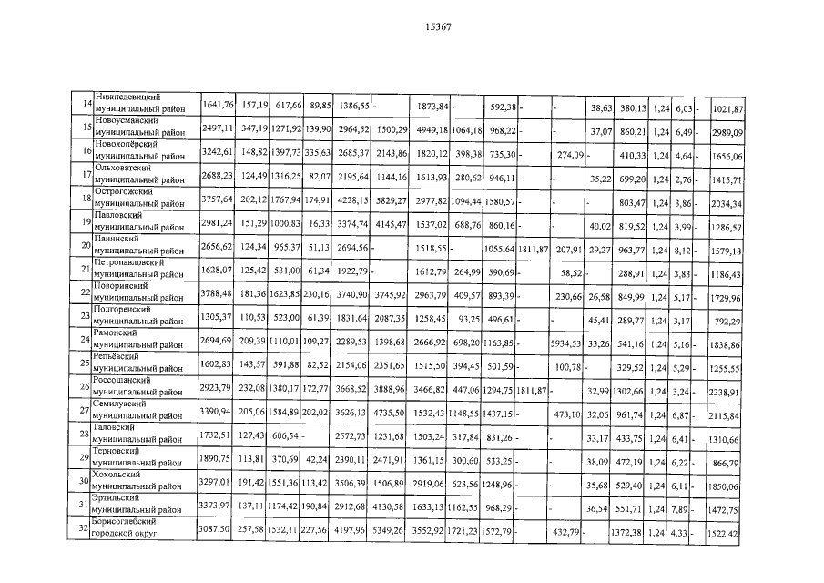
Постановление правительства Воронежской области от 11.12.2015 № 970
"Об утверждении результатов определения кадастровой стоимости земельных участков в составе земель населенных пунктов Воронежской области"
Номер опубликования: 3600201512280001
Дата опубликования: 28.12.2015
Страница №15368 из 15371:
Увеличить