Официальное опубликование правовых актов
ОФИЦИАЛЬНОЕ ОПУБЛИКОВАНИЕ
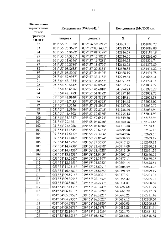
Постановление правительства Воронежской области от 04.05.2016 № 315
"Об утверждении Положения о государственном комплексном природном заказнике областного значения "Байгоровский"
Номер опубликования: 3600201605100009
Дата опубликования: 10.05.2016
Страница №12 из 20:
Увеличить