Официальное опубликование правовых актов
ОФИЦИАЛЬНОЕ ОПУБЛИКОВАНИЕ
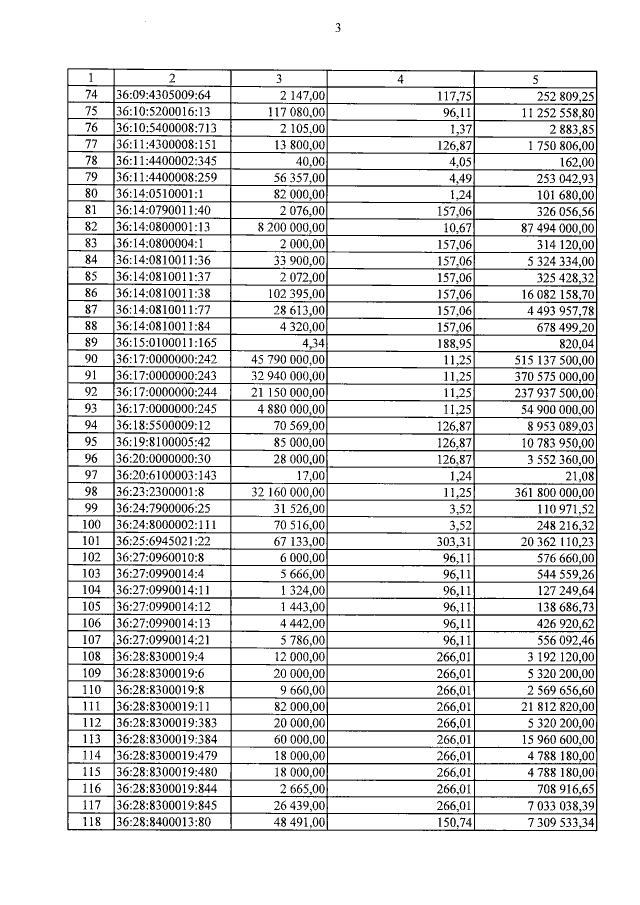
Постановление правительства Воронежской области от 31.10.2016 № 826
"Об утверждении результатов определения кадастровой стоимости земельных участков в составе земель особо охраняемых территорий и объектов Воронежской области"
Номер опубликования: 3600201611080001
Дата опубликования: 08.11.2016
Страница №4 из 9:
Увеличить