Официальное опубликование правовых актов
ОФИЦИАЛЬНОЕ ОПУБЛИКОВАНИЕ
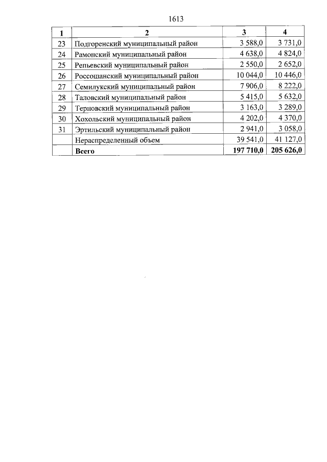
Закон Воронежской области от 23.12.2016 № 182-ОЗ
"Об областном бюджете на 2017 год и на плановый период 2018 и 2019 годов"
Номер опубликования: 3600201612270007
Дата опубликования: 27.12.2016
Страница №1613 из 1680:
Увеличить