Официальное опубликование правовых актов
ОФИЦИАЛЬНОЕ ОПУБЛИКОВАНИЕ
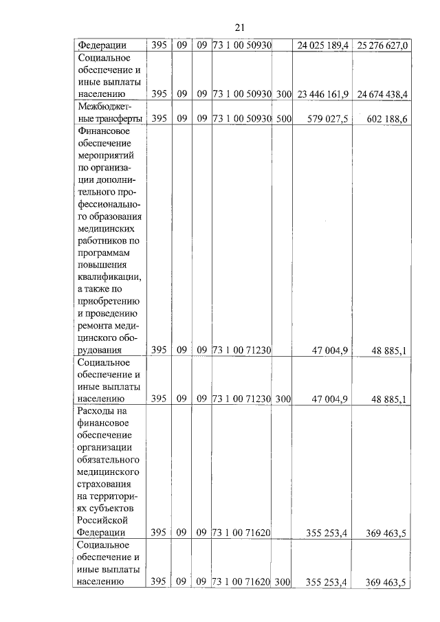
Закон Воронежской области от 23.12.2016 № 183-ОЗ
"О бюджете Территориального фонда обязательного медицинского страхования Воронежской области на 2017 год и на плановый период 2018 и 2019 годов"
Номер опубликования: 3600201612270024
Дата опубликования: 27.12.2016
Страница №21 из 23:
Увеличить