Официальное опубликование правовых актов
ОФИЦИАЛЬНОЕ ОПУБЛИКОВАНИЕ
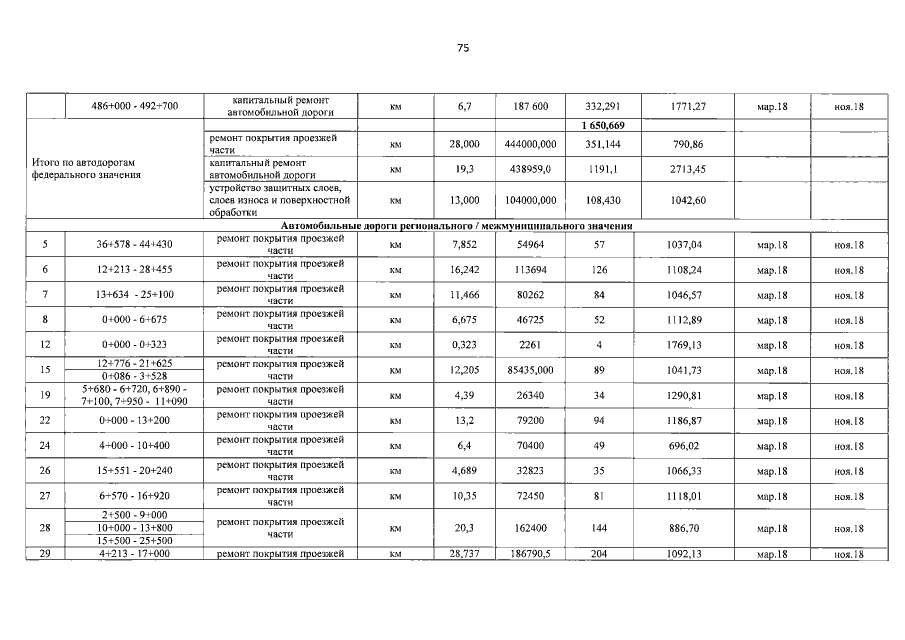
Постановление правительства Воронежской области от 15.02.2017 № 90
"О внесении изменений в постановление правительства Воронежской области от 31.12.2013 № 1188"
Номер опубликования: 3600201702170001
Дата опубликования: 17.02.2017
Страница №86 из 134:
Увеличить