Официальное опубликование правовых актов
ОФИЦИАЛЬНОЕ ОПУБЛИКОВАНИЕ
Постановление правительства Воронежской области от 14.03.2017 № 176
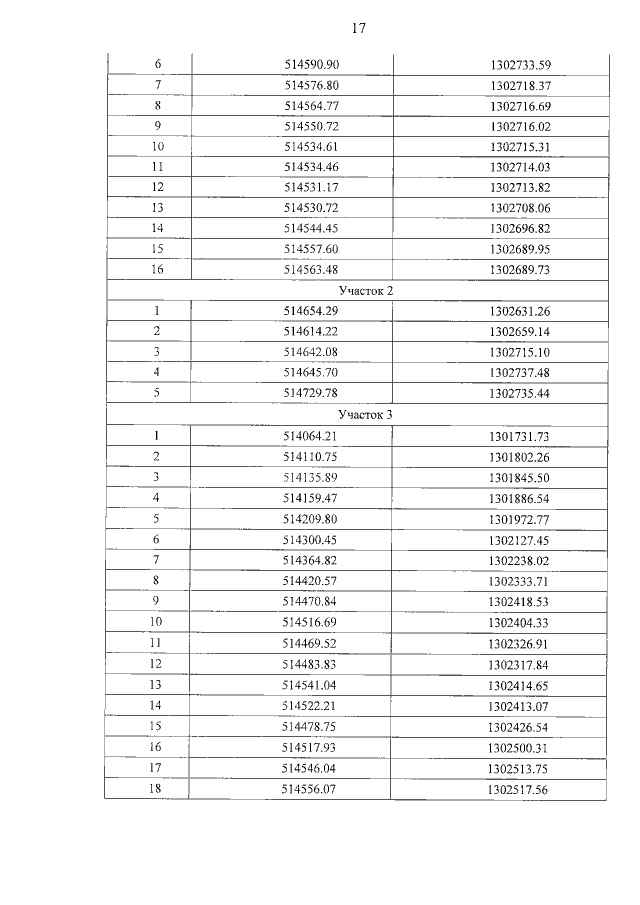
"Об утверждении проекта планировки территории, ограниченной Вогрэсовским мостом, ул. Брусилова, Ленинским проспектом и ул. Димитрова в г. Воронеж, предусматривающего размещение объектов регионального значения (спортивного комплекса "Центр по гребле на байдарках и каноэ" и спортивного комплекса - центра по спортивной гимнастике), с учетом комплексного развития прилегающей территории"
Номер опубликования: 3600201703200003
Дата опубликования: 20.03.2017
Страница №19 из 120:
Увеличить