Официальное опубликование правовых актов
ОФИЦИАЛЬНОЕ ОПУБЛИКОВАНИЕ
Постановление правительства Воронежской области от 06.07.2017 № 543
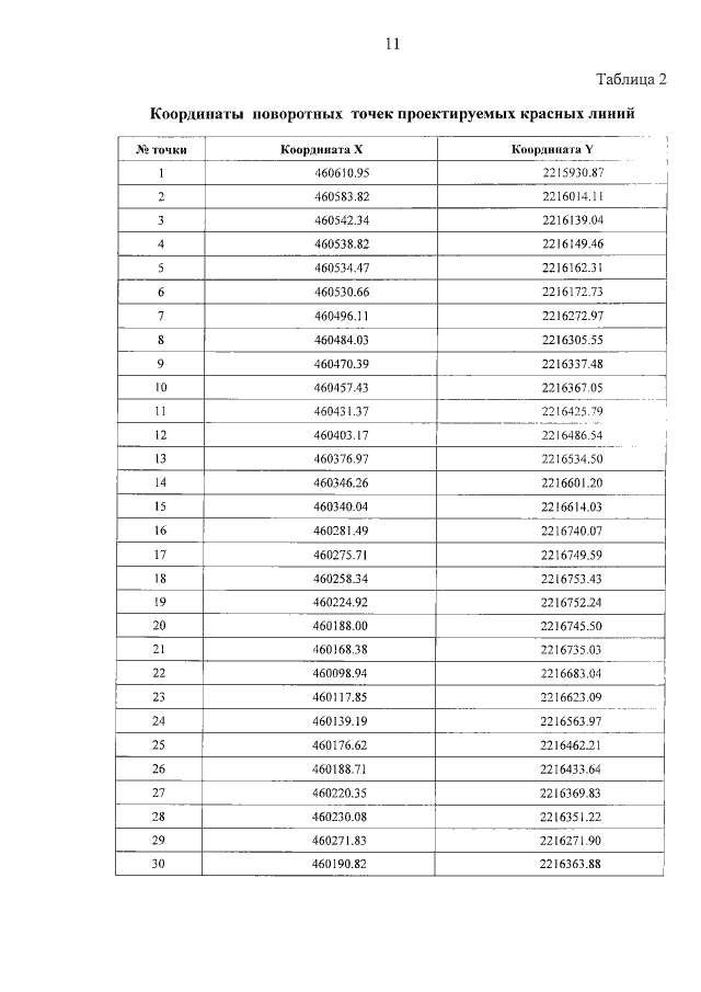
"Об утверждении проекта планировки территории для размещения объекта регионального значения: "Газоснабжение ул. Чкалова, ул. Октябрьская, ул. Котовского, ул. Железнодорожная, ул. Маслозаводская в п. Абрамовка Таловского муниципального района Воронежской области"
Номер опубликования: 3600201707130010
Дата опубликования: 13.07.2017
Страница №13 из 41:
Увеличить