Официальное опубликование правовых актов
ОФИЦИАЛЬНОЕ ОПУБЛИКОВАНИЕ
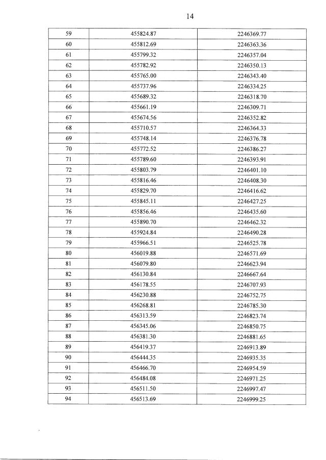
Постановление правительства Воронежской области от 23.01.2018 № 41
"Об утверждении проекта планировки территории для размещения объекта регионального значения: "Строительство автомобильной дороги "М "Дон" - Бобров – Таловая – Новохопёрск" -с. Красное в Новохопёрском муниципальном районе Воронежской области"
Номер опубликования: 3600201801250012
Дата опубликования: 25.01.2018
Страница №16 из 60:
Увеличить