Официальное опубликование правовых актов
ОФИЦИАЛЬНОЕ ОПУБЛИКОВАНИЕ
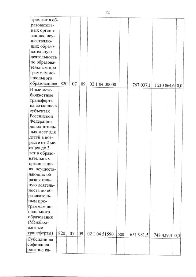
Закон Воронежской области от 23.04.2018 № 60-ОЗ
"О внесении изменений в Закон Воронежской области "Об областном бюджете на 2018 год и на плановый период 2019 и 2020 годов"
Номер опубликования: 3600201804240018
Дата опубликования: 24.04.2018
Страница №12 из 146:
Увеличить