Официальное опубликование правовых актов
ОФИЦИАЛЬНОЕ ОПУБЛИКОВАНИЕ
Постановление правительства Воронежской области от 09.06.2018 № 529
"О внесении изменений в постановление правительства Воронежской области от 14.03.2017 № 176"
Номер опубликования: 3600201806180007
Дата опубликования: 18.06.2018
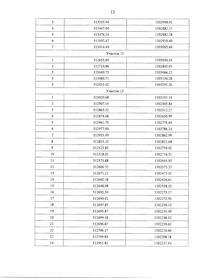
Страница №13 из 95:
Увеличить