Официальное опубликование правовых актов
ОФИЦИАЛЬНОЕ ОПУБЛИКОВАНИЕ
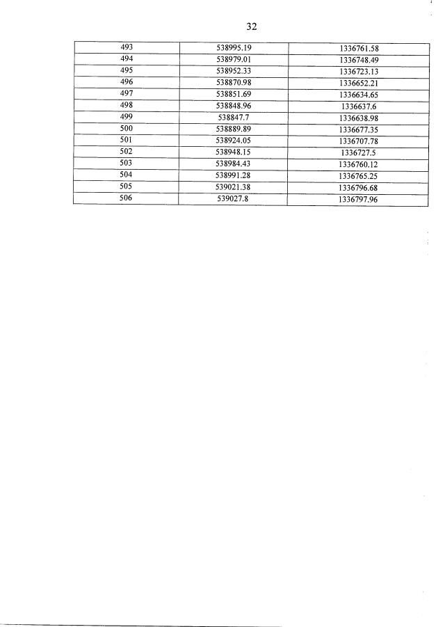
Постановление правительства Воронежской области от 09.06.2018 № 533
"Об утверждении проекта планировки территории для размещения объекта регионального значения: "Газораспределительные сети с. Большая Приваловка Верхнехавского муниципального района Воронежской области"
Номер опубликования: 3600201806180017
Дата опубликования: 18.06.2018
Страница №34 из 107:
Увеличить