Официальное опубликование правовых актов
ОФИЦИАЛЬНОЕ ОПУБЛИКОВАНИЕ
Постановление правительства Воронежской области от 20.06.2018 № 542
"О внесении изменений в постановление правительства Воронежской области от 31.12.2013 № 1188"
Номер опубликования: 3600201806210001
Дата опубликования: 21.06.2018
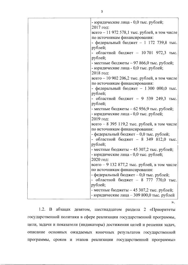
Страница №3 из 92:
Увеличить