Официальное опубликование правовых актов
ОФИЦИАЛЬНОЕ ОПУБЛИКОВАНИЕ
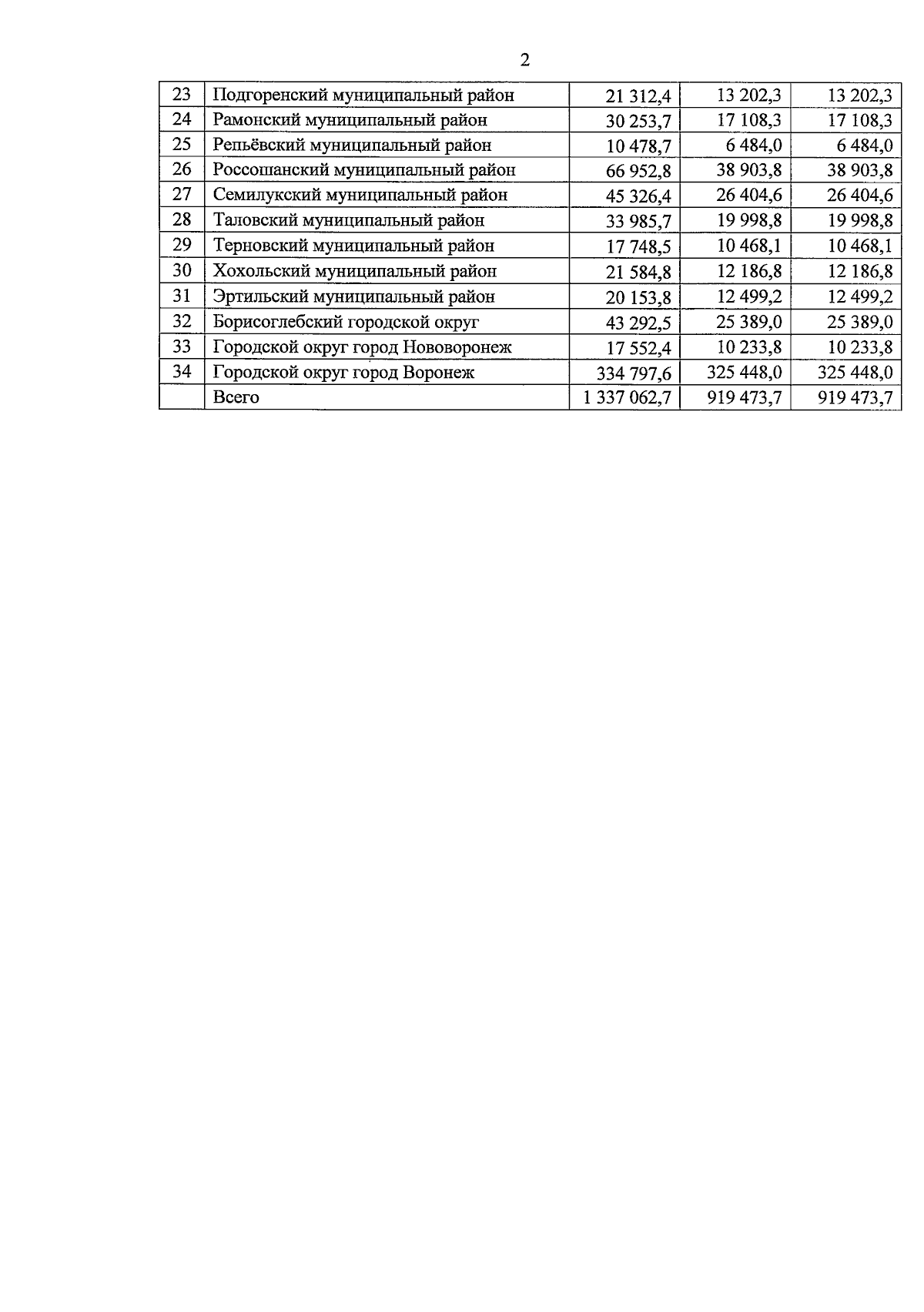
Постановление Правительства Воронежской области от 15.10.2024 № 695
"О внесении изменений в распределение иных межбюджетных трансфертов из областного бюджета бюджетам муниципальных образований Воронежской области на ежемесячное денежное вознаграждение за классное руководство педагогическим работникам муниципальных общеобразовательных организаций на 2024 год и на плановый период 2025 и 2026 годов"
Номер опубликования: 3600202410160005
Дата опубликования: 16.10.2024
Страница №4 из 4:
Увеличить