Официальное опубликование правовых актов
ОФИЦИАЛЬНОЕ ОПУБЛИКОВАНИЕ
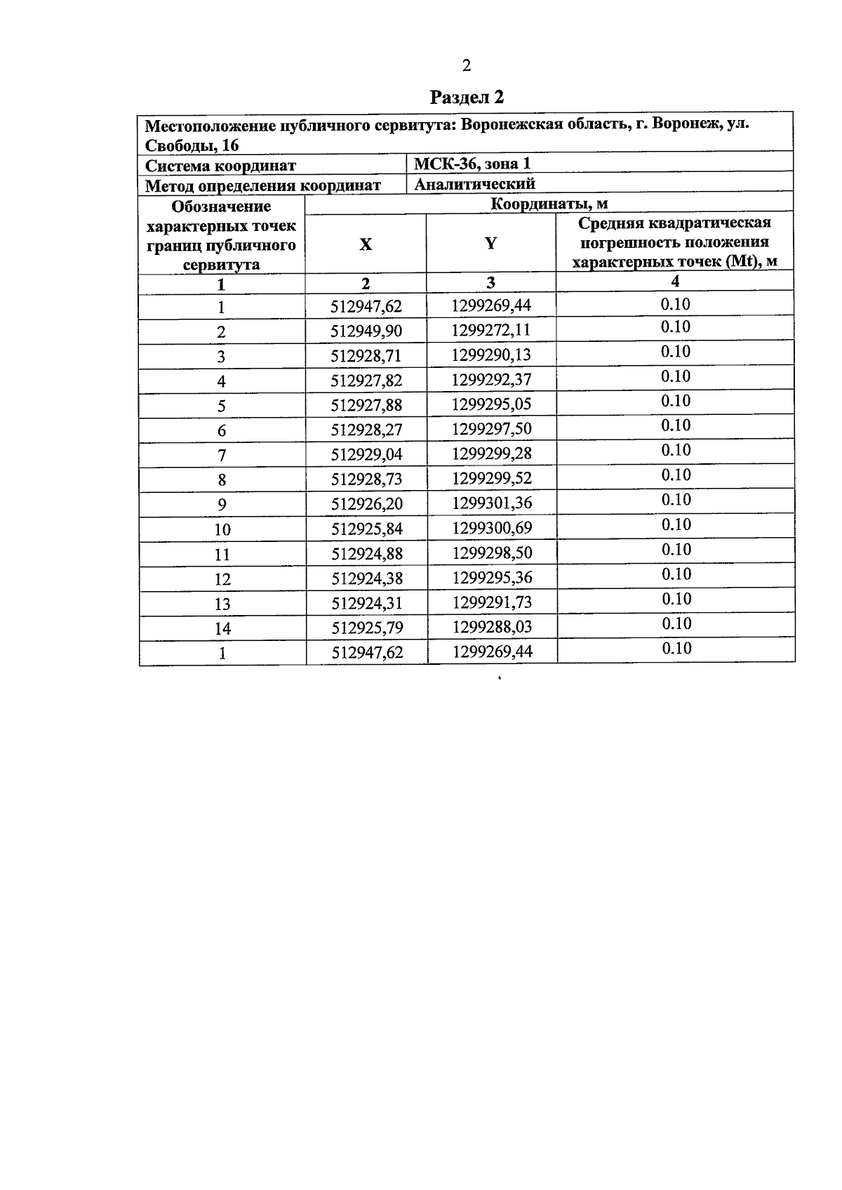
Постановление Правительства Воронежской области от 27.02.2026 № 140
"Об установлении публичного сервитута"
Номер опубликования: 3600202603020020
Дата опубликования: 02.03.2026
Страница №4 из 5:
Увеличить