Официальное опубликование правовых актов
ОФИЦИАЛЬНОЕ ОПУБЛИКОВАНИЕ
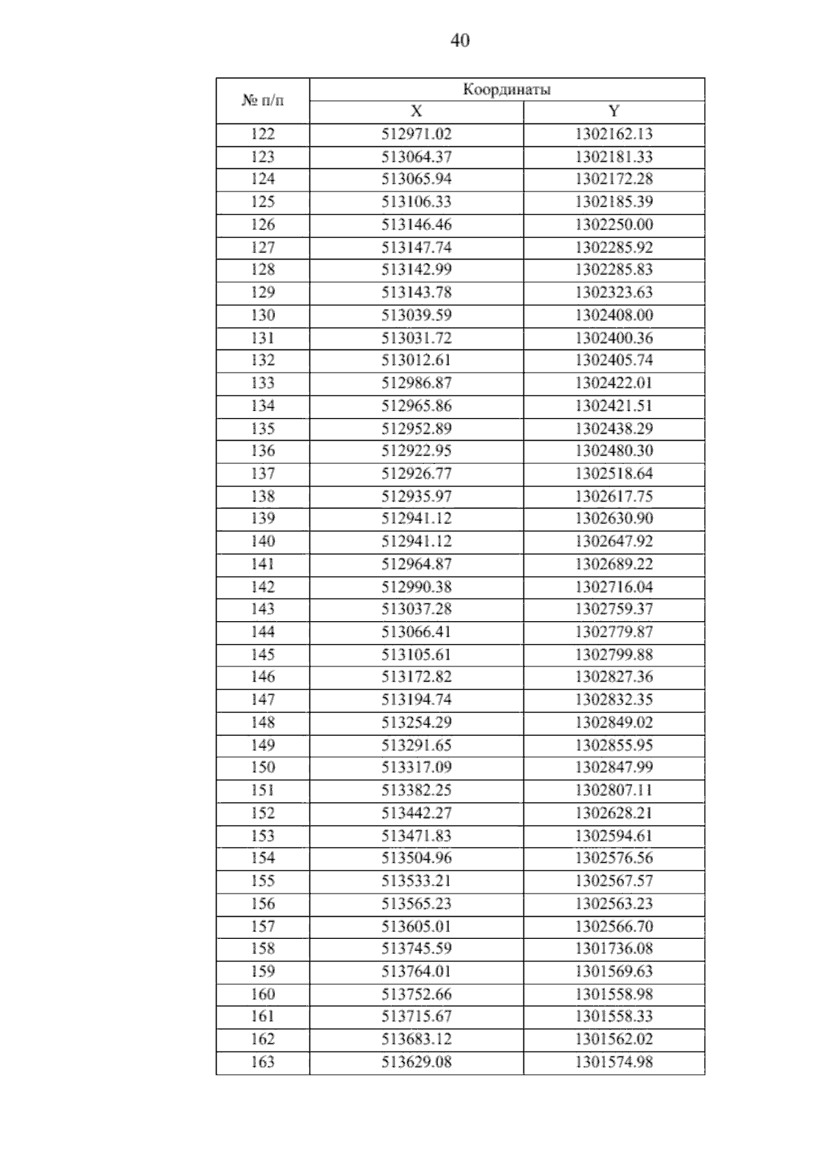
Постановление Правительства Воронежской области от 06.04.2026 № 239
"О внесении изменений в постановление Правительства Воронежской области от 14.03.2017 № 176"
Номер опубликования: 3600202604070001
Дата опубликования: 07.04.2026
Страница №40 из 42:
Увеличить