Официальное опубликование правовых актов
ОФИЦИАЛЬНОЕ ОПУБЛИКОВАНИЕ
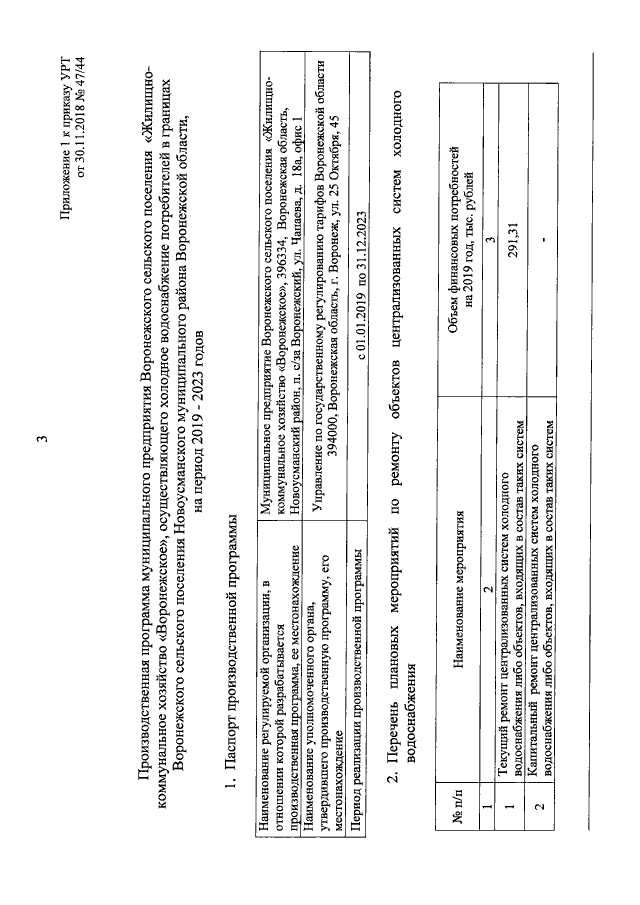
Приказ управления по государственному регулированию тарифов Воронежской области
от 30.11.2018 № 47/44
"Об установлении долгосрочных параметров регулирования деятельности и тарифов на питьевую воду (питьевое водоснабжение) для муниципального предприятия Воронежского сельского поселения "Жилищно-коммунальное хозяйство "Воронежское", осуществляющего холодное водоснабжение потребителей в границах Воронежского сельского поселения Новоусманского муниципального района Воронежской области, на период 2019-2023 годов"
(Зарегистрирован 04.12.2018 № 986)
Номер опубликования: 3601201812060073
Дата опубликования: 06.12.2018
Страница №3 из 7:
Увеличить