Официальное опубликование правовых актов
ОФИЦИАЛЬНОЕ ОПУБЛИКОВАНИЕ
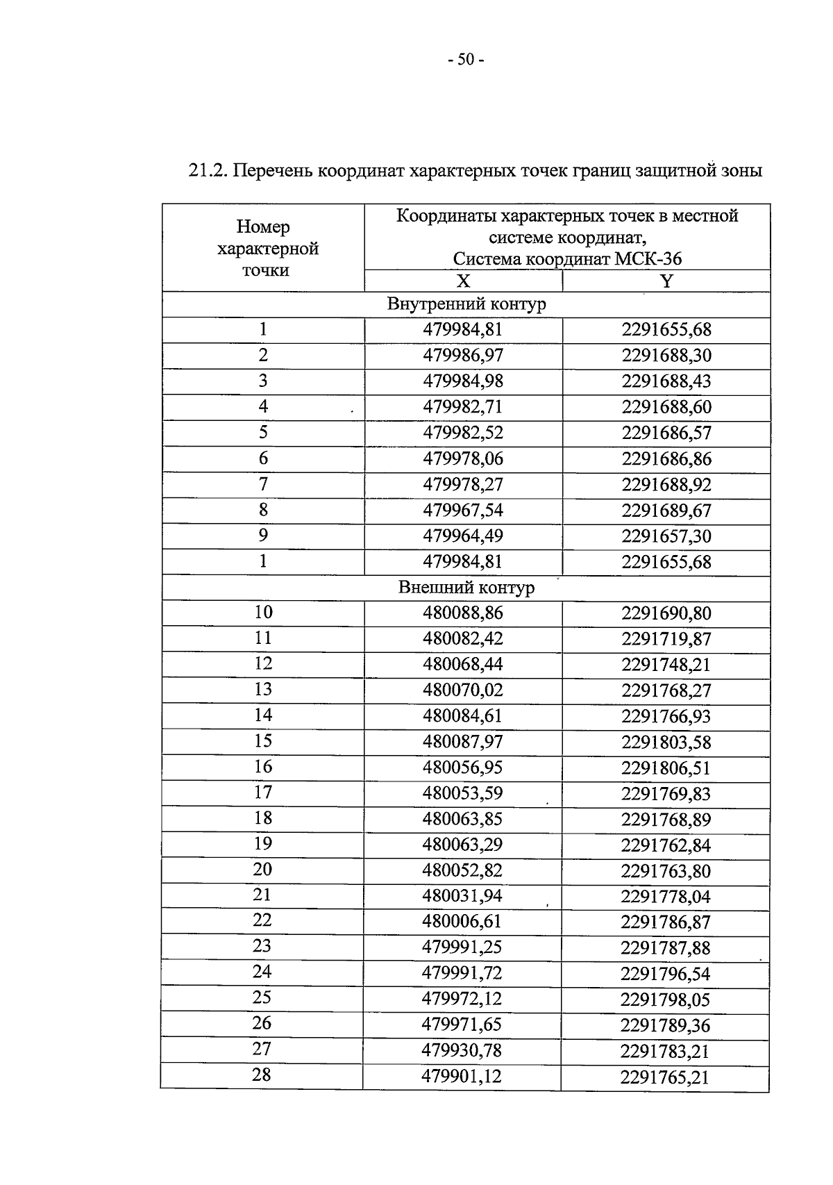
Приказ управления по охране объектов культурного наследия Воронежской области от 08.08.2024 № 71-01-07/392
"О внесении изменений в приказ управления по охране объектов культурного наследия Воронежской области от 29.04.2019 № 71-01- 07/115"
(Зарегистрирован 28.08.2024 № 913)
Номер опубликования: 3601202408290009
Дата опубликования: 29.08.2024
Страница №50 из 52:
Увеличить