Официальное опубликование правовых актов
ОФИЦИАЛЬНОЕ ОПУБЛИКОВАНИЕ
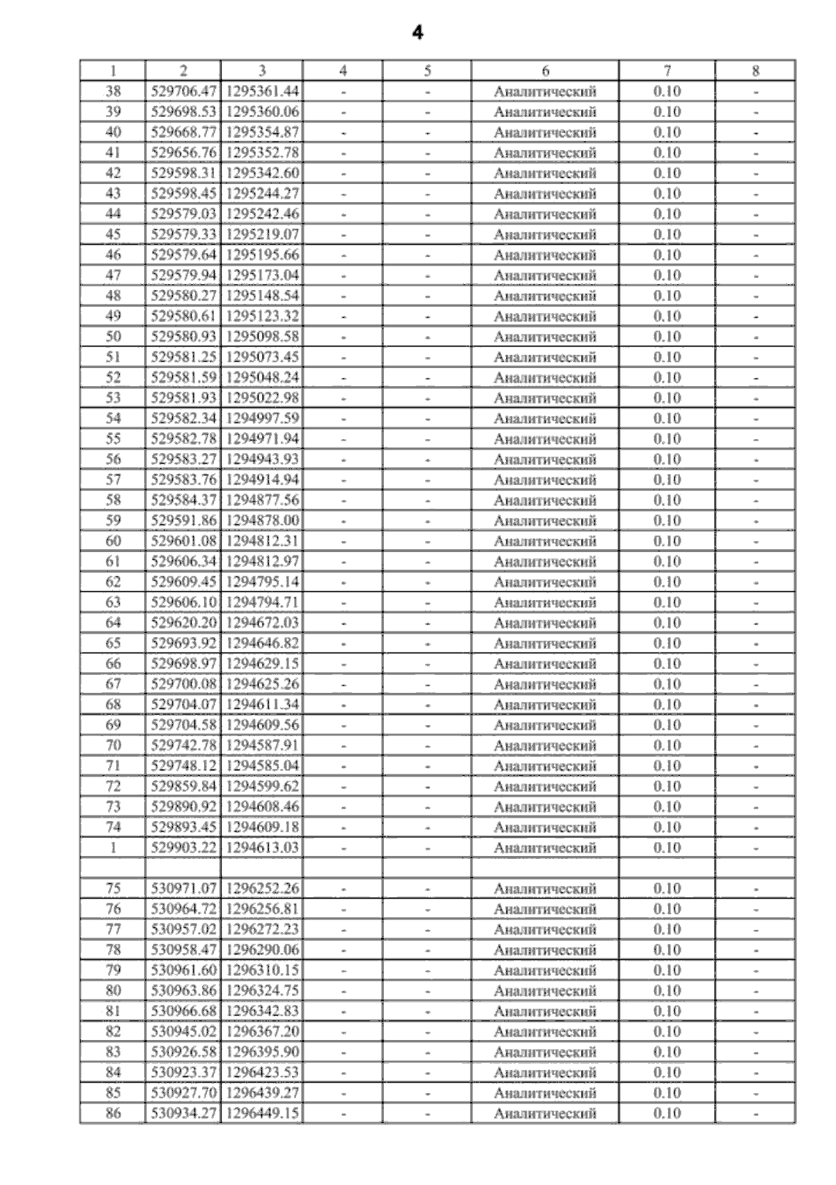
Приказ министерства архитектуры и градостроительства Воронежской области от 29.08.2024 № 45-01-04/332
"О внесении изменений в правила землепользования и застройки Яменского сельского поселения Рамонского муниципального района Воронежской области"
(Зарегистрирован 06.09.2024 № 976)
Номер опубликования: 3601202409110006
Дата опубликования: 11.09.2024
Страница №96 из 124:
Увеличить