Официальное опубликование правовых актов
ОФИЦИАЛЬНОЕ ОПУБЛИКОВАНИЕ
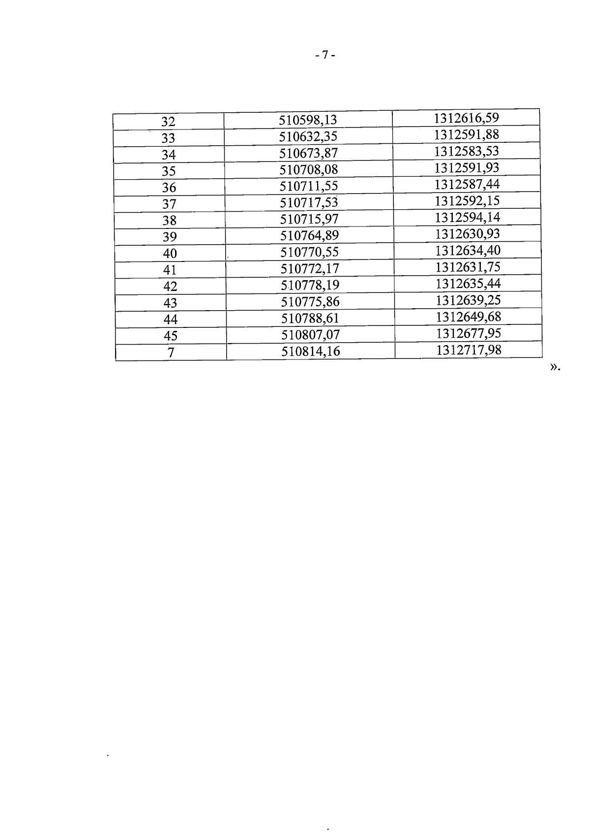
Приказ управления по охране объектов культурного наследия Воронежской области от 05.09.2024 № 71-01-07/424
"О внесении изменений в приказ управления по охране объектов культурного наследия Воронежской области от 12.11.2019 № 71-01-07/288"
(Зарегистрирован 26.09.2024 № 1079)
Номер опубликования: 3601202409270002
Дата опубликования: 27.09.2024
Страница №7 из 17:
Увеличить