Официальное опубликование правовых актов
ОФИЦИАЛЬНОЕ ОПУБЛИКОВАНИЕ
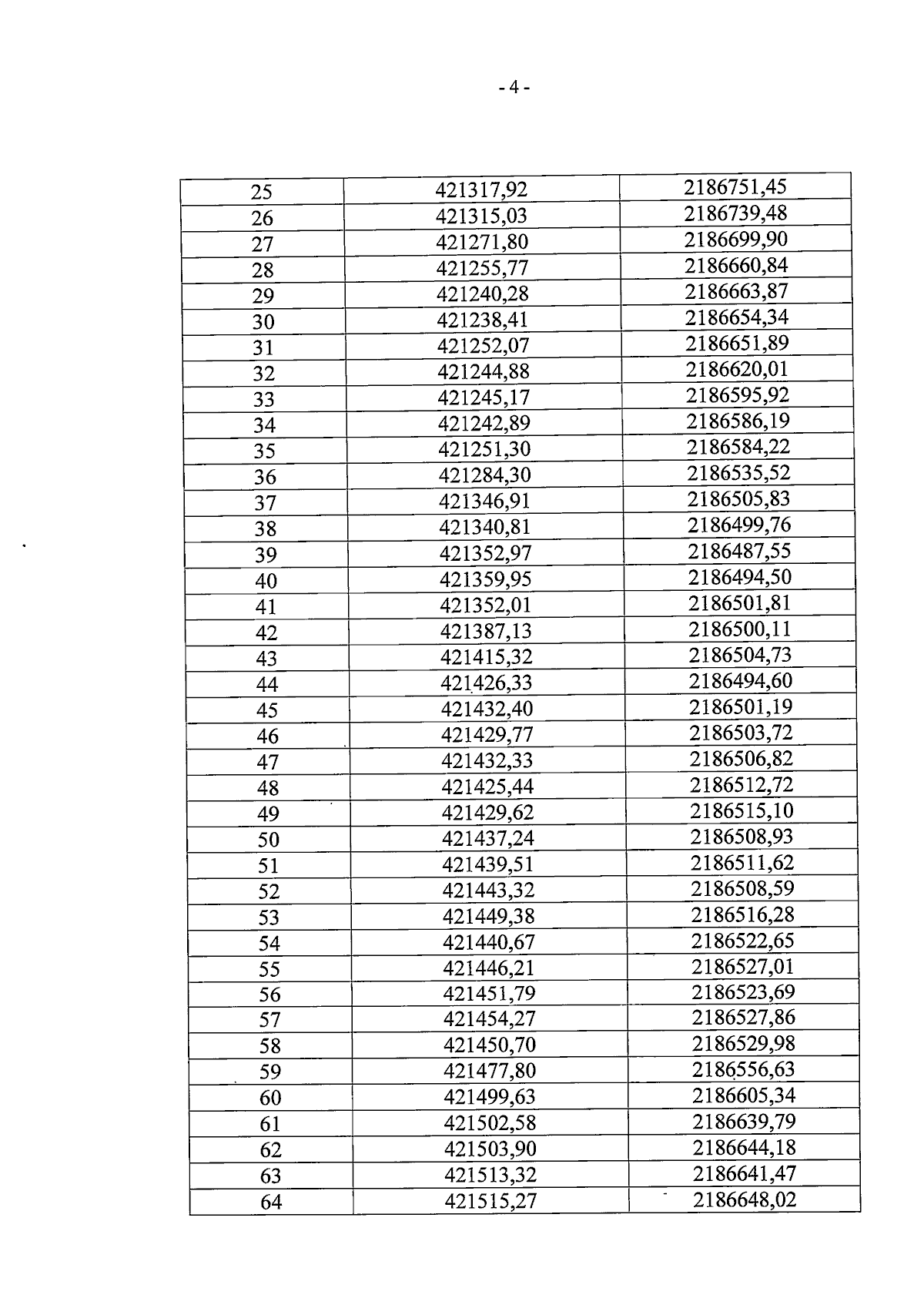
Приказ управления по охране объектов культурного наследия Воронежской области от 20.09.2024 № 71-01-07/439
"О внесении изменения в приказ управления по охране объектов культурного наследия Воронежской области от 03.09.2019 № 71-01-07/212"
(Зарегистрирован 04.10.2024 № 1113)
Номер опубликования: 3601202410080006
Дата опубликования: 08.10.2024
Страница №4 из 5:
Увеличить