Официальное опубликование правовых актов
ОФИЦИАЛЬНОЕ ОПУБЛИКОВАНИЕ
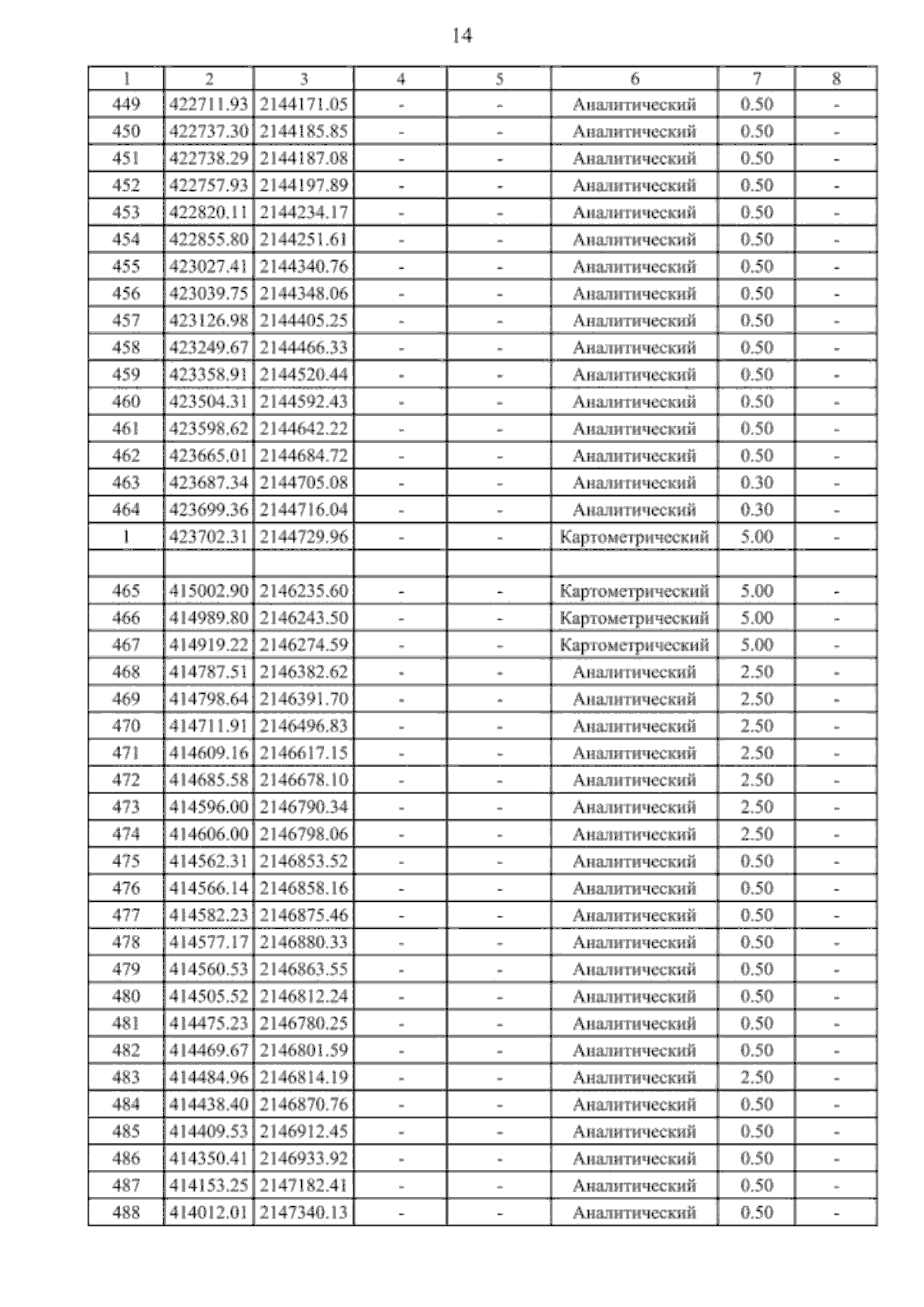
Приказ министерства архитектуры и градостроительства Воронежской области от 30.09.2024 № 45-01-04/405
"О внесении изменений в правила землепользования и застройки Шестаковского сельского поселения Бобровского муниципального района Воронежской области"
(Зарегистрирован 07.10.2024 № 1129)
Номер опубликования: 3601202410080010
Дата опубликования: 08.10.2024
Страница №91 из 104:
Увеличить