Официальное опубликование правовых актов
ОФИЦИАЛЬНОЕ ОПУБЛИКОВАНИЕ
Приказ министерства архитектуры и градостроительства Воронежской области от 30.10.2024 № 45-01-04/466
"О внесении изменений в правила землепользования и застройки Каменно-Верховского сельского поселения Каширского муниципального района Воронежской области"
(Зарегистрирован 13.11.2024 № 1349)
Номер опубликования: 3601202411140003
Дата опубликования: 14.11.2024
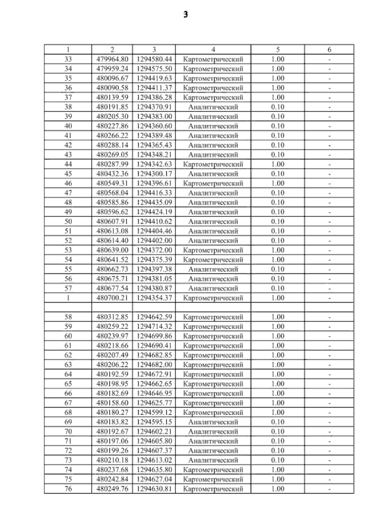
Страница №54 из 106:
Увеличить