Официальное опубликование правовых актов
ОФИЦИАЛЬНОЕ ОПУБЛИКОВАНИЕ
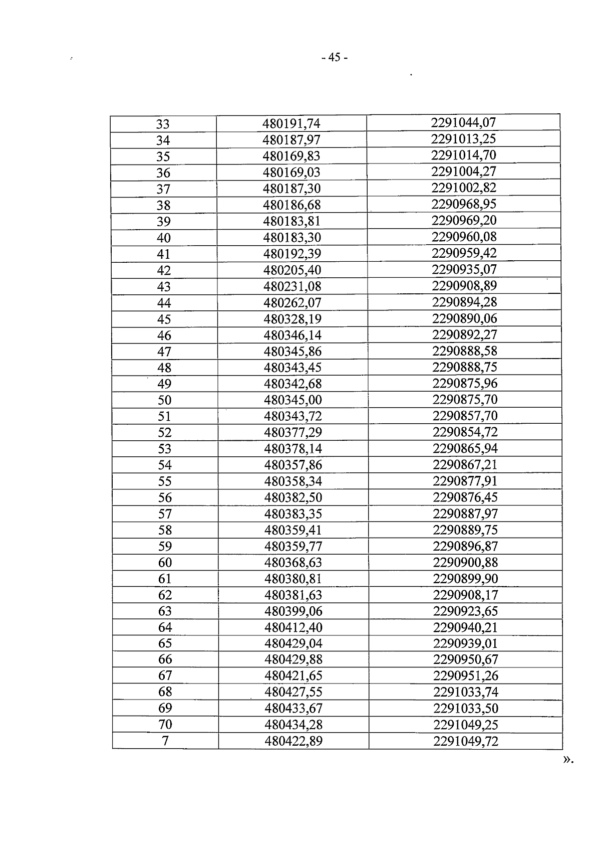
Приказ управления по охране объектов культурного наследия Воронежской области от 29.10.2024 № 71-01-07/509
"О внесении изменений в приказ управления по охране объектов культурного наследия Воронежской области от 04.12.2018 № 71-01-07/266"
(Зарегистрирован 12.11.2024 № 1324)
Номер опубликования: 3601202411150004
Дата опубликования: 15.11.2024
Страница №45 из 64:
Увеличить