Официальное опубликование правовых актов
ОФИЦИАЛЬНОЕ ОПУБЛИКОВАНИЕ
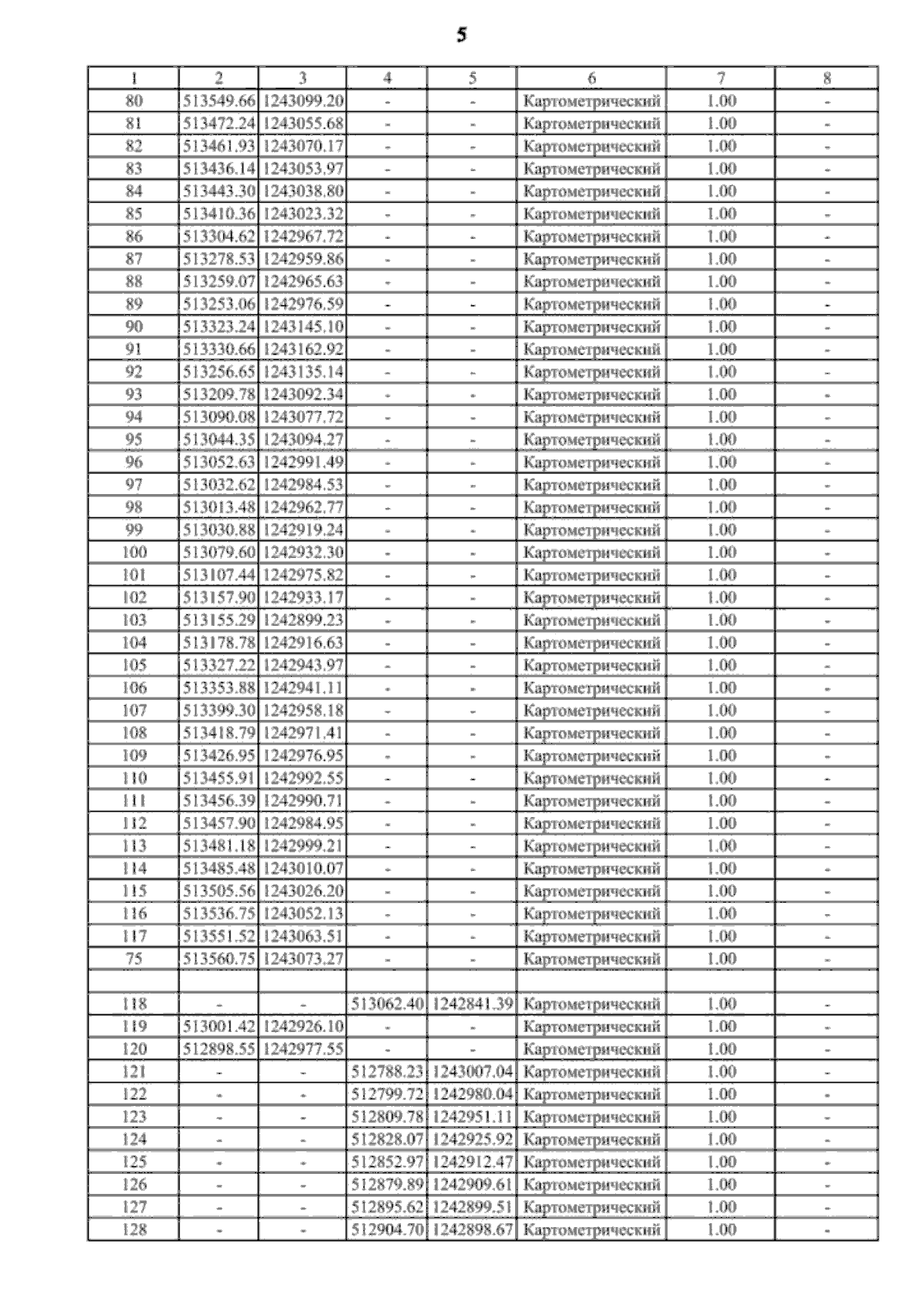
Приказ министерства архитектуры и градостроительства Воронежской области от 08.11.2024 № 45-01-04/504
"О внесении изменений в правила землепользования и застройки Новоольшанского сельского поселения Нижнедевицкого муниципального района Воронежской области"
(Зарегистрирован 28.11.2024 № 1460)
Номер опубликования: 3601202412030002
Дата опубликования: 03.12.2024
Страница №34 из 118:
Увеличить