Официальное опубликование правовых актов
ОФИЦИАЛЬНОЕ ОПУБЛИКОВАНИЕ
Приказ министерства архитектуры и градостроительства Воронежской области от 06.11.2024 № 45-01-04/500
"О внесении изменений в правила землепользования и застройки Верхнехавского сельского поселения Верхнехавского муниципального района Воронежской области"
(Зарегистрирован 28.11.2024 № 1447)
Номер опубликования: 3601202412030004
Дата опубликования: 03.12.2024
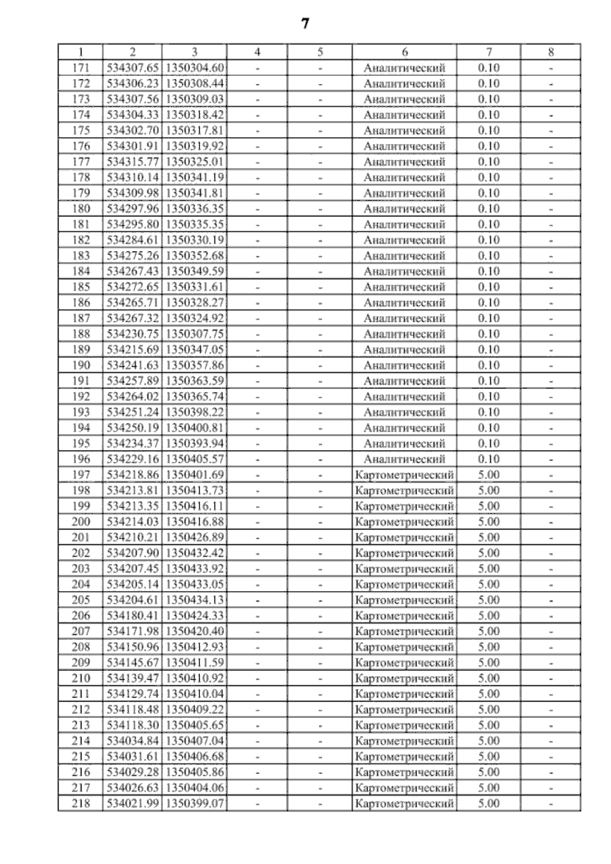
Страница №123 из 216:
Увеличить