Официальное опубликование правовых актов
ОФИЦИАЛЬНОЕ ОПУБЛИКОВАНИЕ
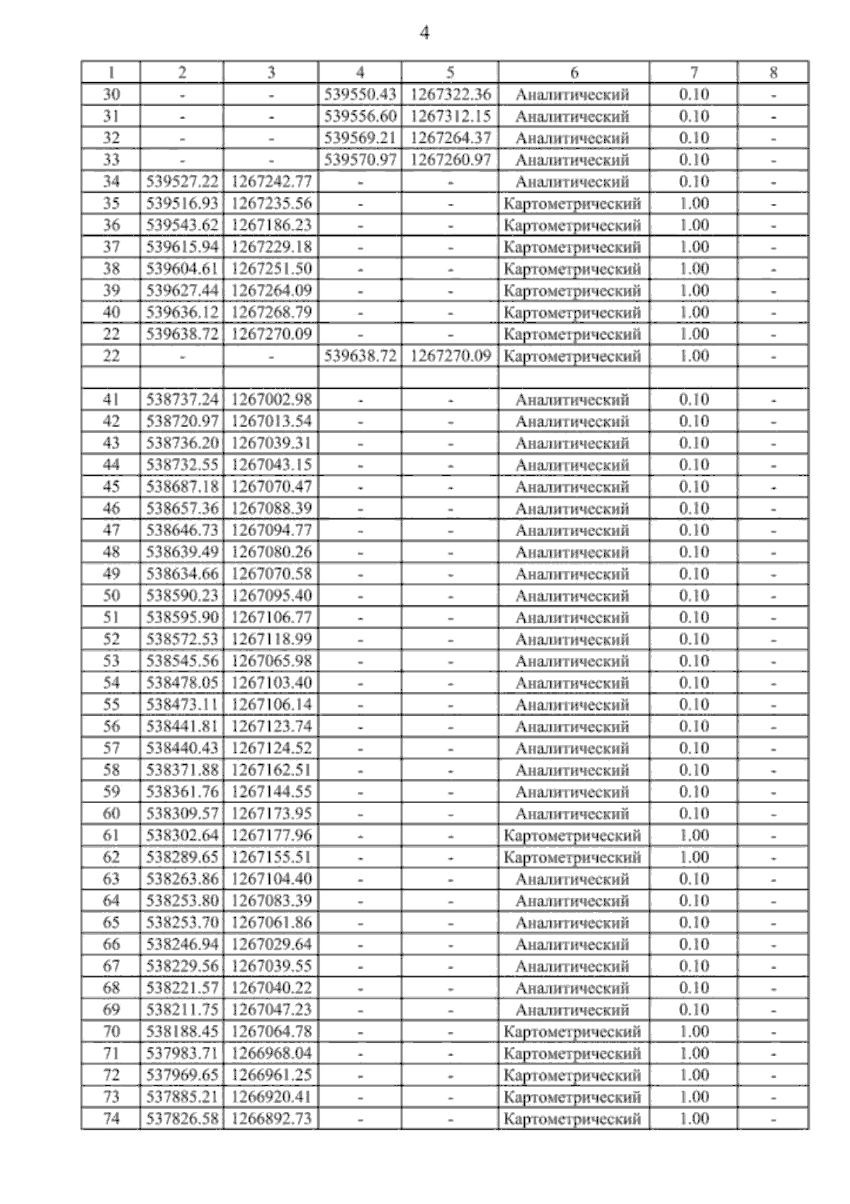
Приказ министерства архитектуры и градостроительства Воронежской области от 08.11.2024 № 45-01-04/506
"О внесении изменений в правила землепользования и застройки Землянского сельского поселения Семилукского муниципального района Воронежской области"
(Зарегистрирован 28.11.2024 № 1457)
Номер опубликования: 3601202412030010
Дата опубликования: 03.12.2024
Страница №46 из 88:
Увеличить