Официальное опубликование правовых актов
ОФИЦИАЛЬНОЕ ОПУБЛИКОВАНИЕ
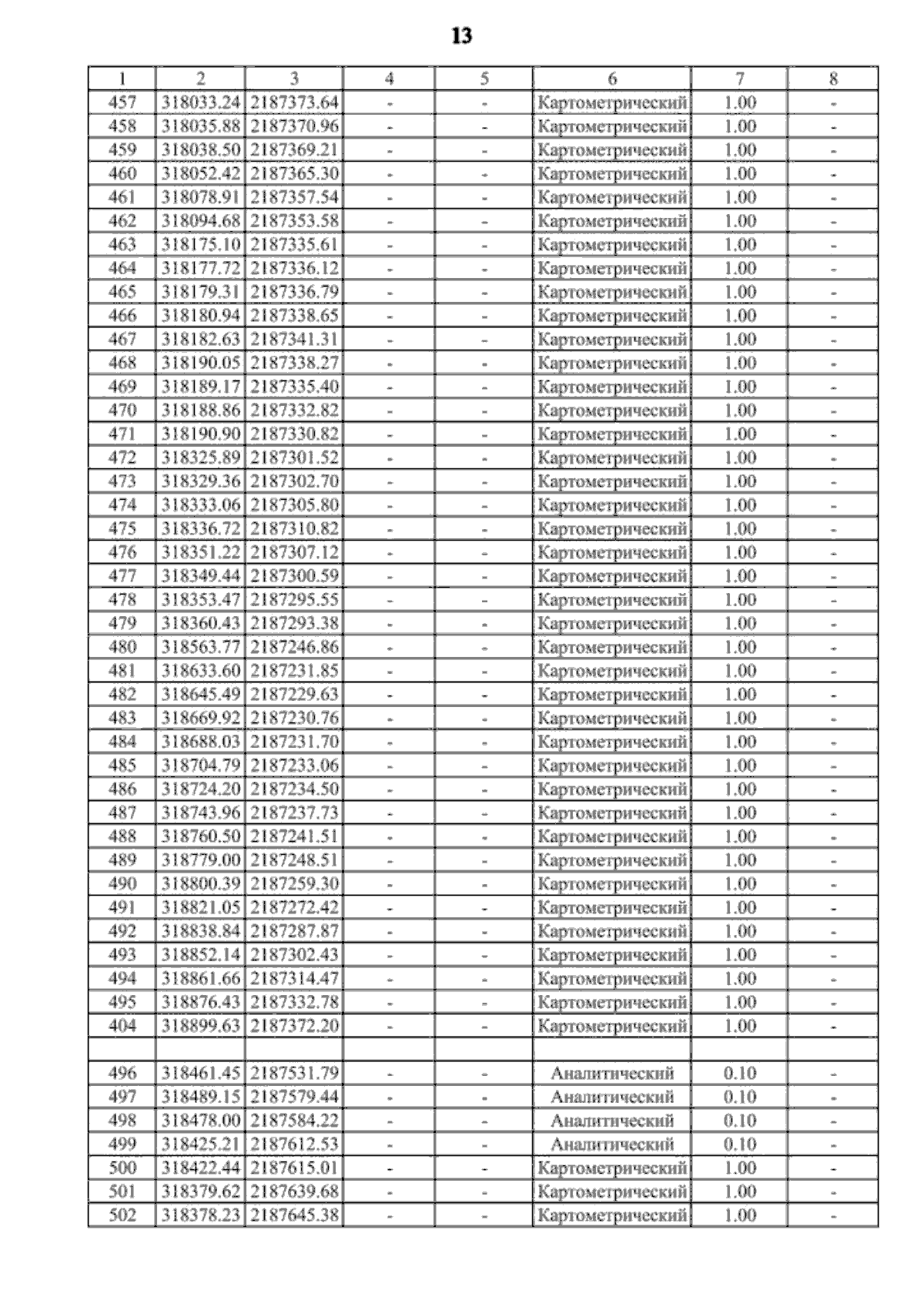
Приказ министерства архитектуры и градостроительства Воронежской области от 14.11.2024 № 45-01-04/519
"О внесении изменений в правила землепользования и застройки Дьяченковского сельского поселения Богучарского муниципального района Воронежской области"
(Зарегистрирован 03.12.2024 № 1486)
Номер опубликования: 3601202412050027
Дата опубликования: 05.12.2024
Страница №20 из 51:
Увеличить