Официальное опубликование правовых актов
ОФИЦИАЛЬНОЕ ОПУБЛИКОВАНИЕ
Приказ министерства архитектуры и градостроительства Воронежской области от 28.11.2024 № 45-01-04/566
"О внесении изменений в правила землепользования и застройки Заброденского сельского поселения Калачеевского муниципального района Воронежской области"
(Зарегистрирован 17.12.2024 № 1666)
Номер опубликования: 3601202412190017
Дата опубликования: 19.12.2024
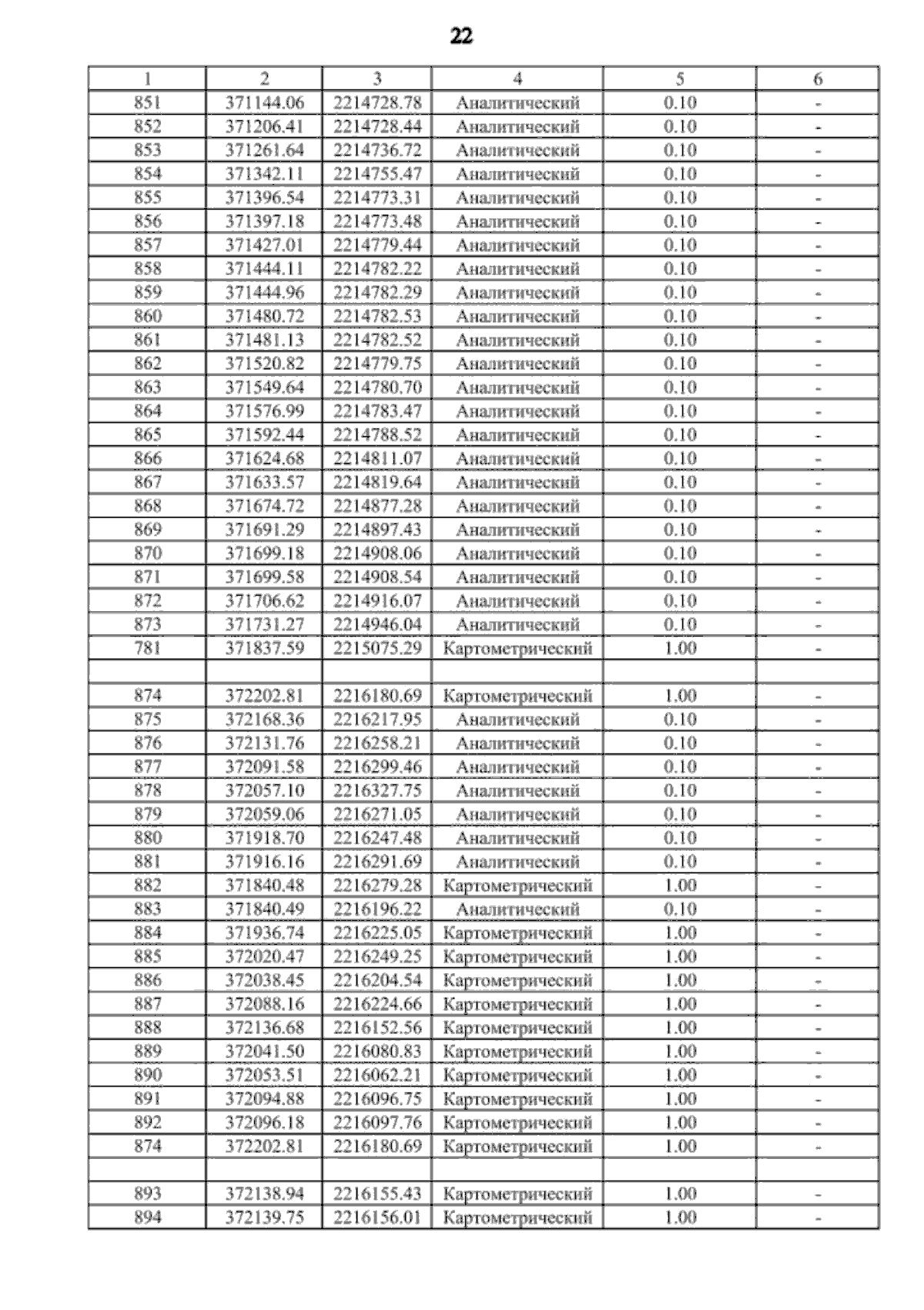
Страница №99 из 134:
Увеличить