Официальное опубликование правовых актов
ОФИЦИАЛЬНОЕ ОПУБЛИКОВАНИЕ
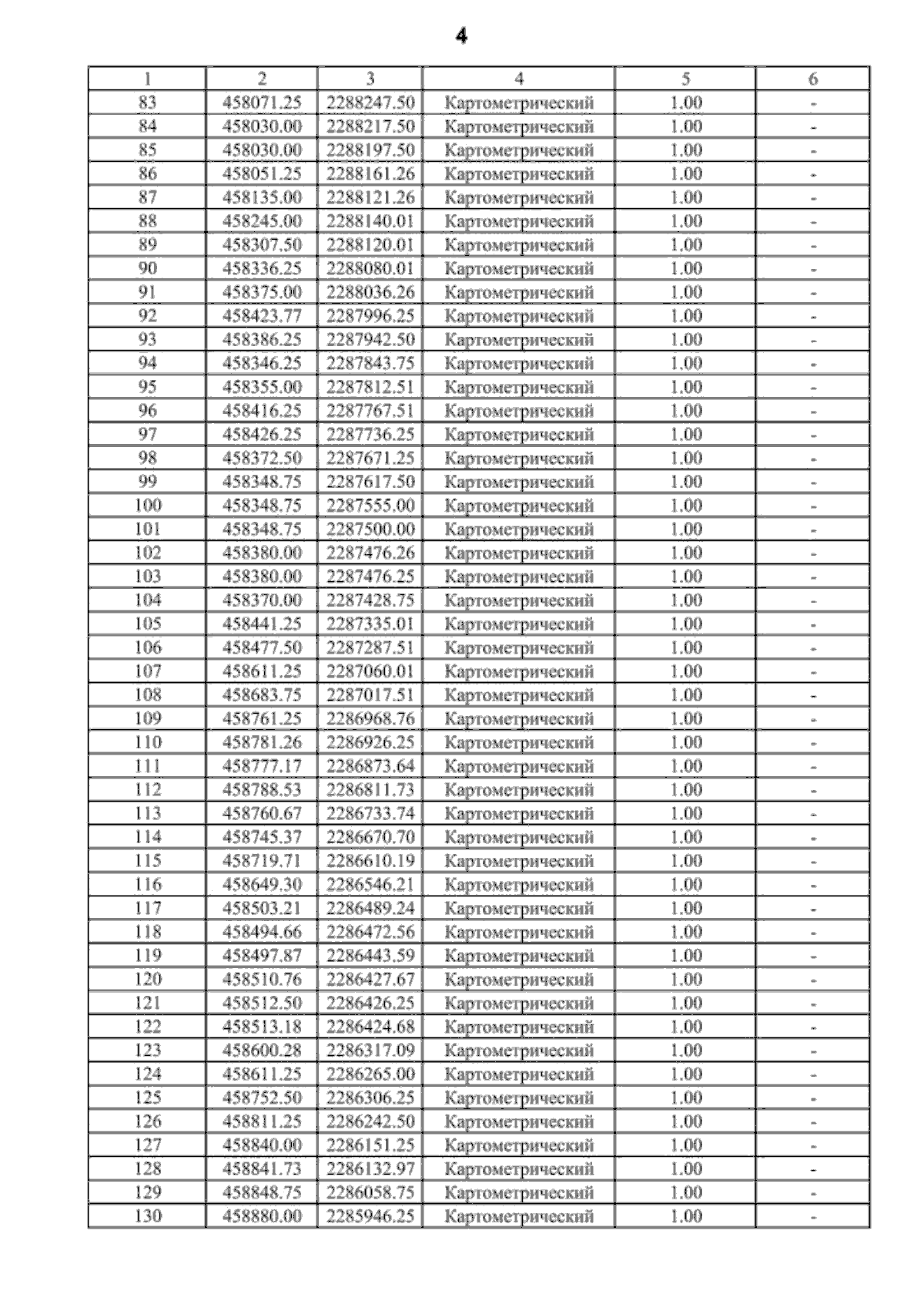
Приказ министерства архитектуры и градостроительства Воронежской области от 04.12.2024 № 45-01-04/574
"О внесении изменений в правила землепользования и застройки Октябрьского сельского поселения Поворинского муниципального района Воронежской области"
(Зарегистрирован 20.12.2024 № 1759)
Номер опубликования: 3601202412230007
Дата опубликования: 23.12.2024
Страница №29 из 37:
Увеличить