Официальное опубликование правовых актов
ОФИЦИАЛЬНОЕ ОПУБЛИКОВАНИЕ
Приказ министерства архитектуры и градостроительства Воронежской области от 09.12.2024 № 45-01-04/578
"О внесении изменений в правила землепользования и застройки Каменского городского поселения Каменского муниципального района Воронежской области"
(Зарегистрирован 26.12.2024 № 2013)
Номер опубликования: 3601202412280140
Дата опубликования: 28.12.2024
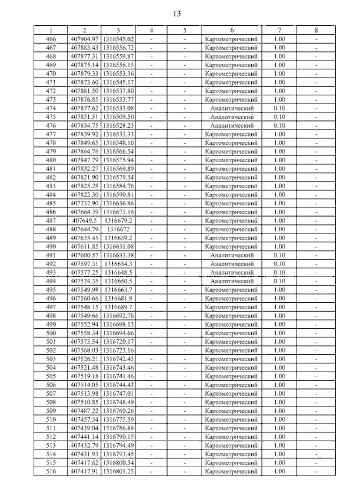
Страница №19 из 135:
Увеличить