Официальное опубликование правовых актов
ОФИЦИАЛЬНОЕ ОПУБЛИКОВАНИЕ
Приказ министерства архитектуры и градостроительства Воронежской области от 12.02.2025 № 45-01-04/42
"О внесении изменений в правила землепользования и застройки городского поселения – город Россошь Россошанского муниципального района Воронежской области"
(Зарегистрирован 05.03.2025 № 167)
Номер опубликования: 3601202503060004
Дата опубликования: 06.03.2025
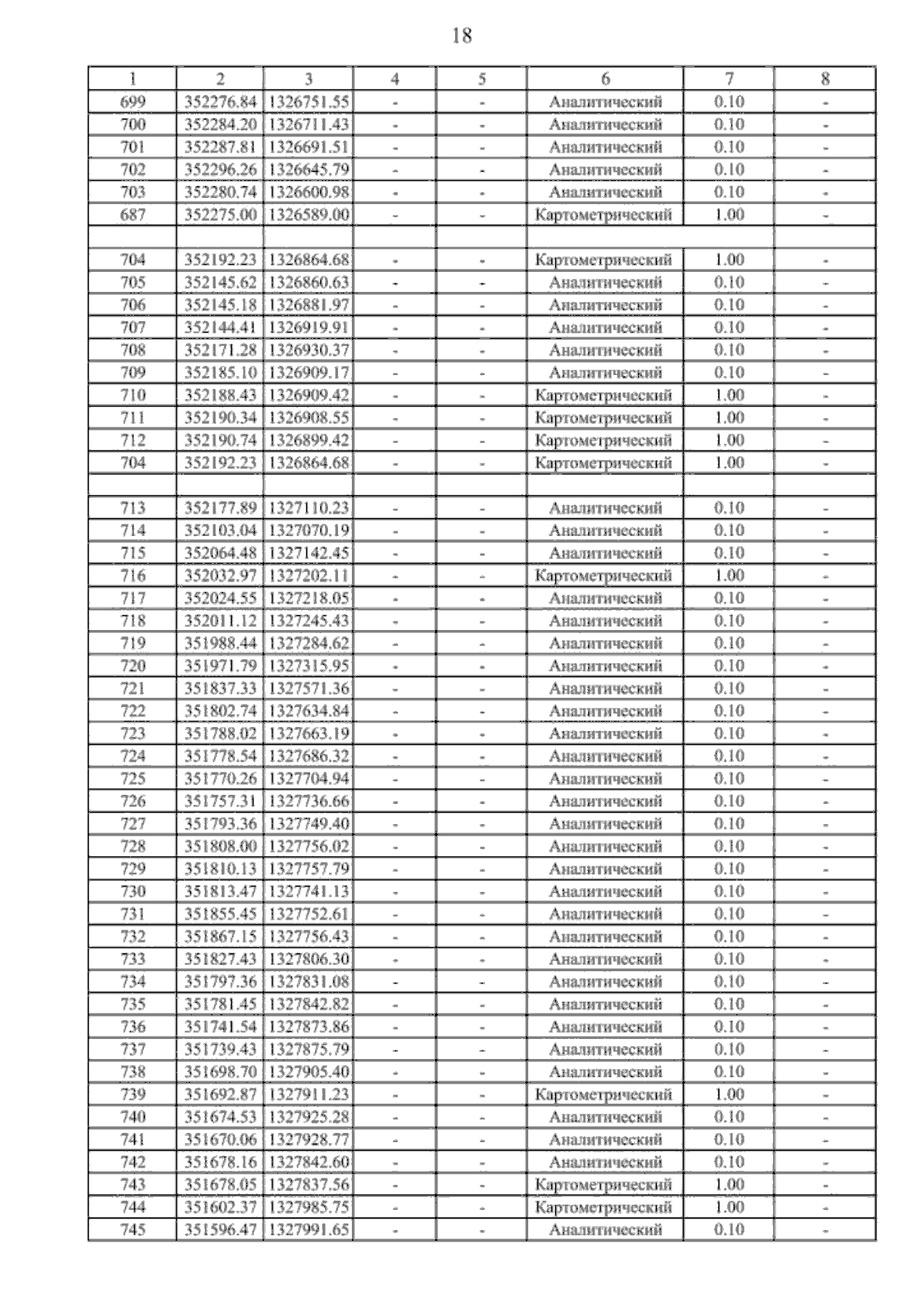
Страница №143 из 209:
Увеличить