Официальное опубликование правовых актов
ОФИЦИАЛЬНОЕ ОПУБЛИКОВАНИЕ
Приказ министерства архитектуры и градостроительства Воронежской области от 12.02.2025 № 45-01-04/41
"О внесении изменений в правила землепользования и застройки Бабяковского сельского поселения Новоусманского муниципального района Воронежской области"
(Зарегистрирован 05.03.2025 № 166)
Номер опубликования: 3601202503060007
Дата опубликования: 06.03.2025
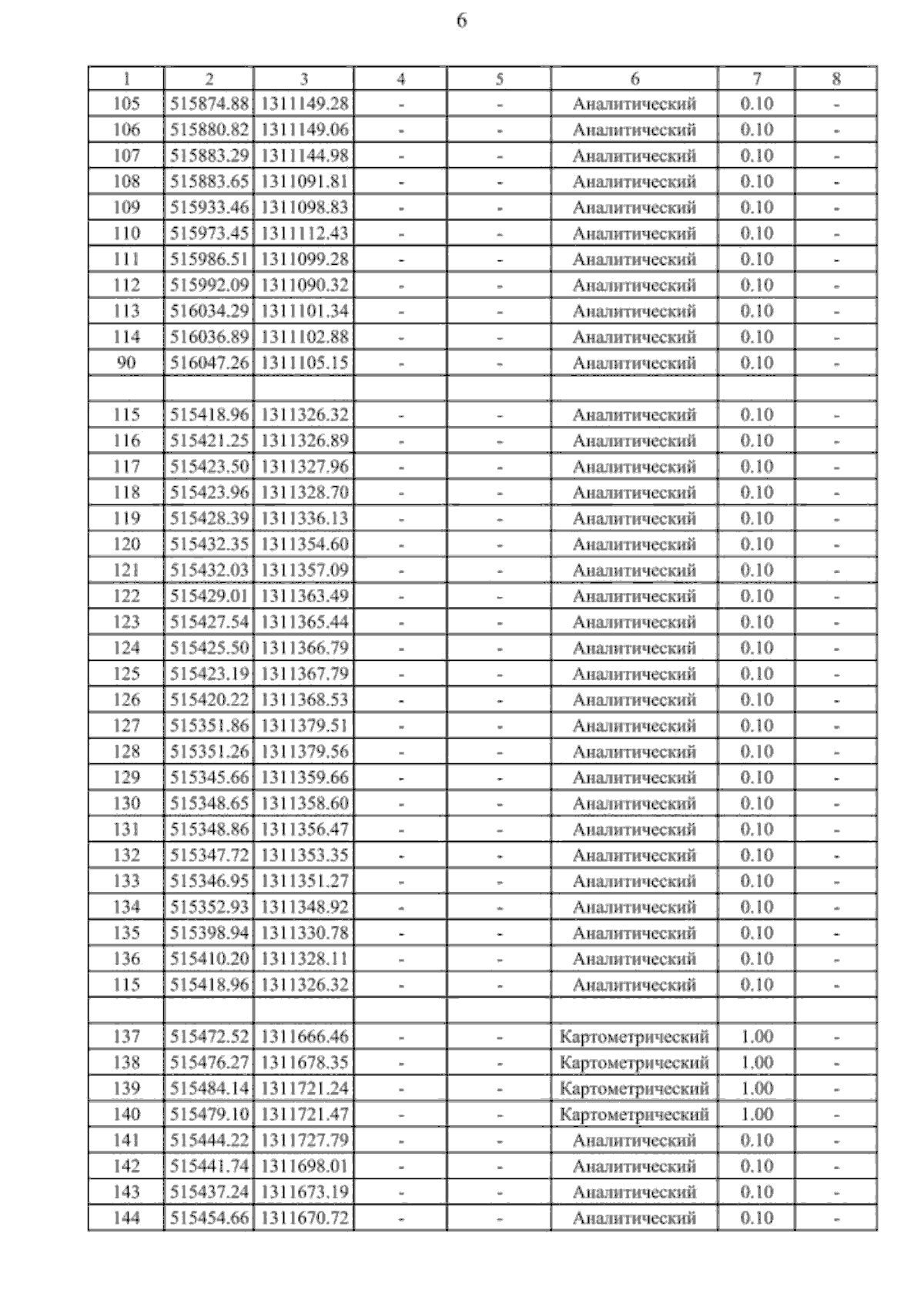
Страница №57 из 68:
Увеличить