Официальное опубликование правовых актов
ОФИЦИАЛЬНОЕ ОПУБЛИКОВАНИЕ
Приказ министерства архитектуры и градостроительства Воронежской области от 04.03.2025 № 45-01-04/87
"О внесении изменений в правила землепользования и застройки Новопостояловского сельского поселения Россошанского муниципального района Воронежской области"
(Зарегистрирован 21.03.2025 № 320)
Номер опубликования: 3601202503240024
Дата опубликования: 24.03.2025
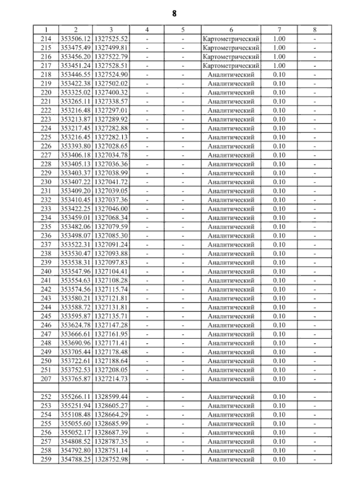
Страница №16 из 39:
Увеличить