Официальное опубликование правовых актов
ОФИЦИАЛЬНОЕ ОПУБЛИКОВАНИЕ
Приказ министерства природных ресурсов и экологии Воронежской области от 10.03.2025 № 109
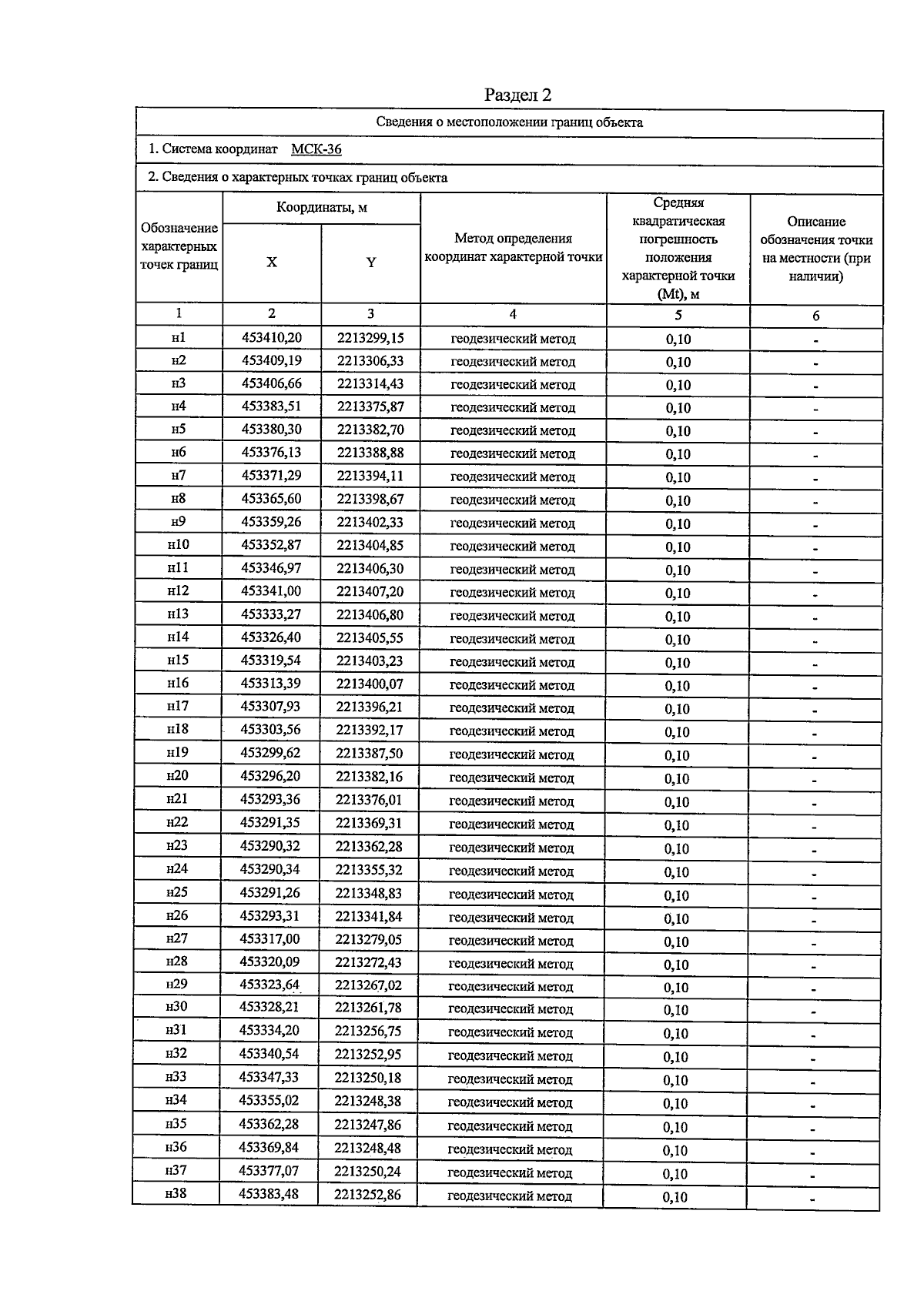
"Об установлении зон санитарной охраны водозабора в составе двух существующих скважин №№ 1,2 для питьевого, хозяйственно-бытового водоснабжения населения и объектов соцкультбыта Муниципального унитарного предприятия Таловского городского поселения Таловского муниципального района Воронежской области "Вымпел"
(Зарегистрирован 21.03.2025 № 326)
Номер опубликования: 3601202503250008
Дата опубликования: 25.03.2025
Страница №12 из 18:
Увеличить