Официальное опубликование правовых актов
ОФИЦИАЛЬНОЕ ОПУБЛИКОВАНИЕ
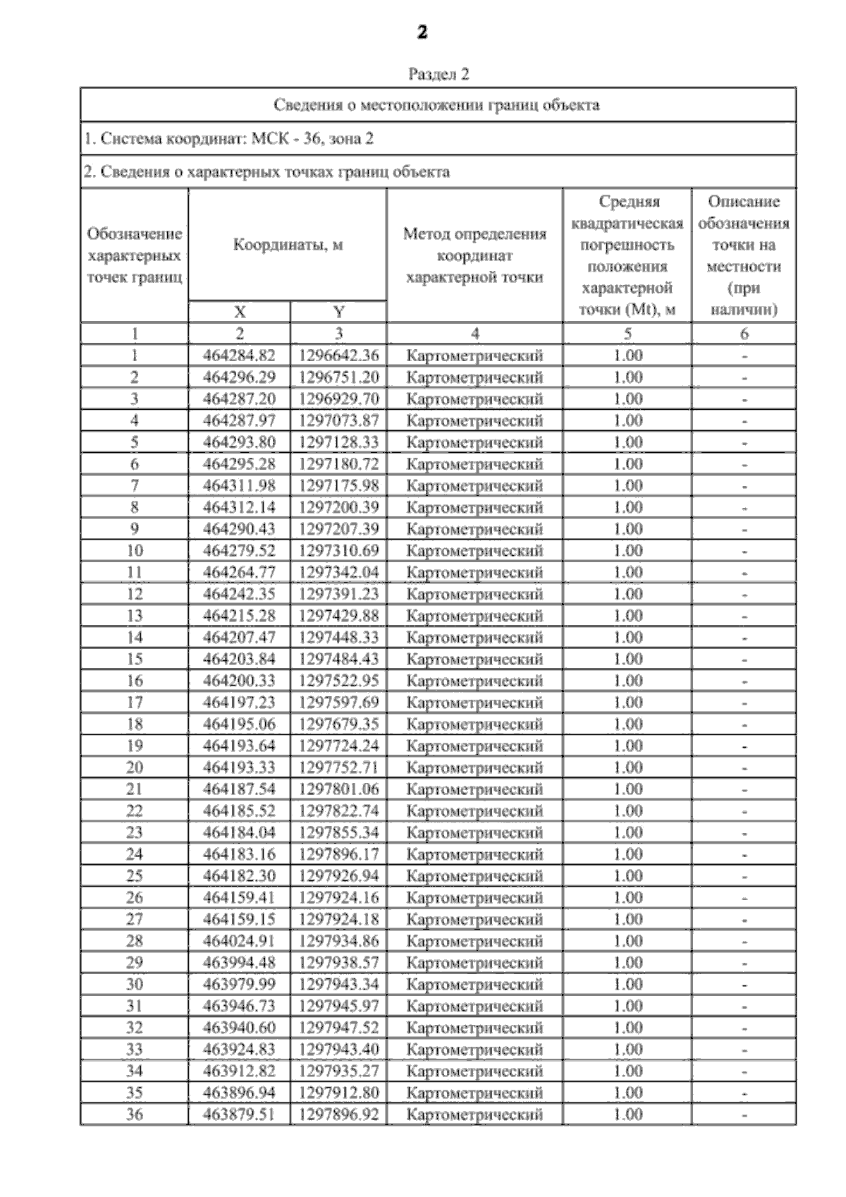
Приказ министерства архитектуры и градостроительства Воронежской области от 05.03.2025 № 45-01-04/93
"О внесении изменений в правила землепользования и застройки Сторожевского 1-го сельского поселения Острогожского муниципального района Воронежской области"
(Зарегистрирован 25.03.2025 № 331)
Номер опубликования: 3601202503260001
Дата опубликования: 26.03.2025
Страница №13 из 32:
Увеличить