Официальное опубликование правовых актов
ОФИЦИАЛЬНОЕ ОПУБЛИКОВАНИЕ
Приказ министерства архитектуры и градостроительства Воронежской области от 25.03.2025 № 45-01-04/143
"О внесении изменений в правила землепользования и застройки Дракинского сельского поселения Лискинского муниципального района Воронежской области"
(Зарегистрирован 09.04.2025 № 407)
Номер опубликования: 3601202504110005
Дата опубликования: 11.04.2025
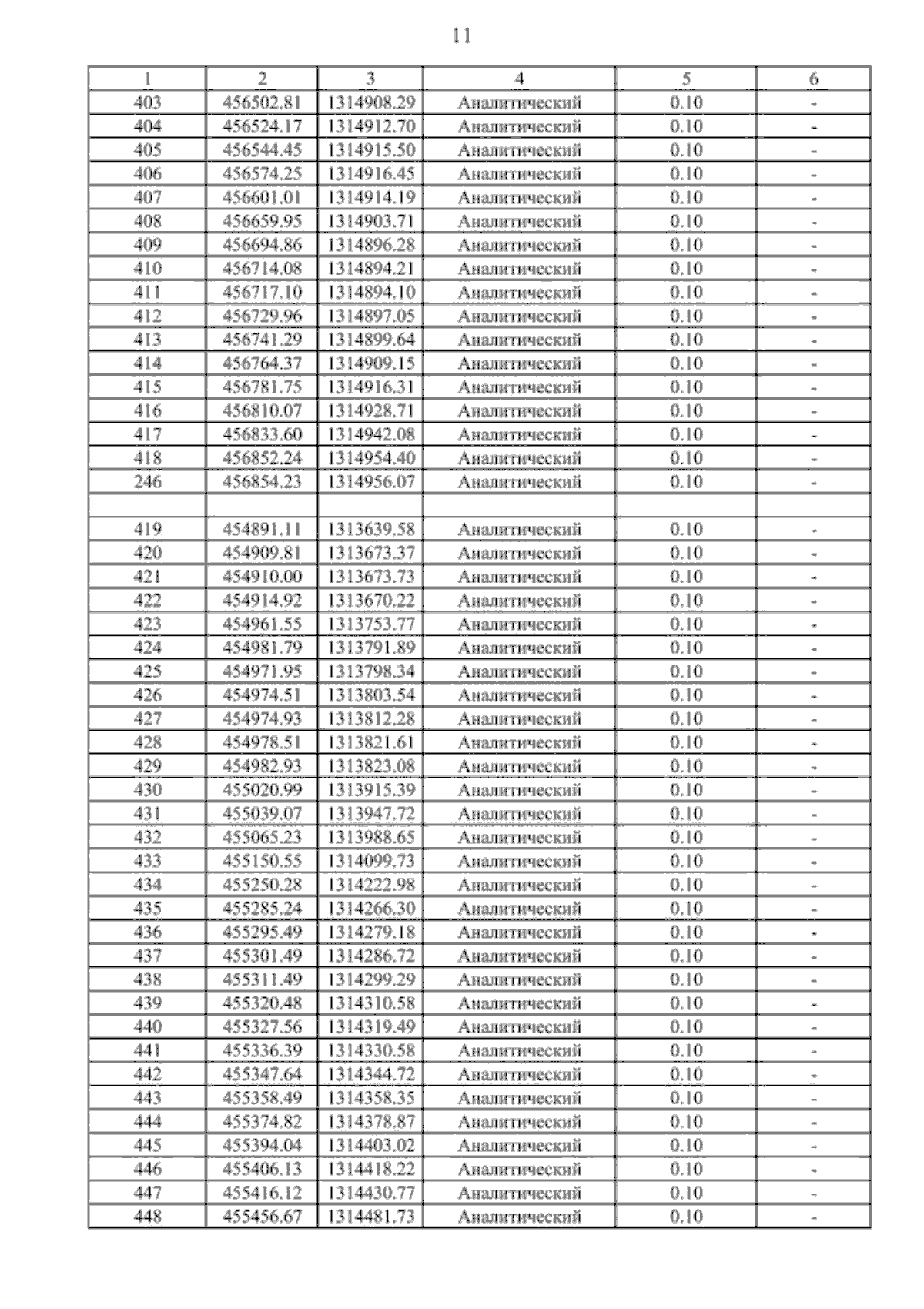
Страница №20 из 49:
Увеличить