Официальное опубликование правовых актов
ОФИЦИАЛЬНОЕ ОПУБЛИКОВАНИЕ
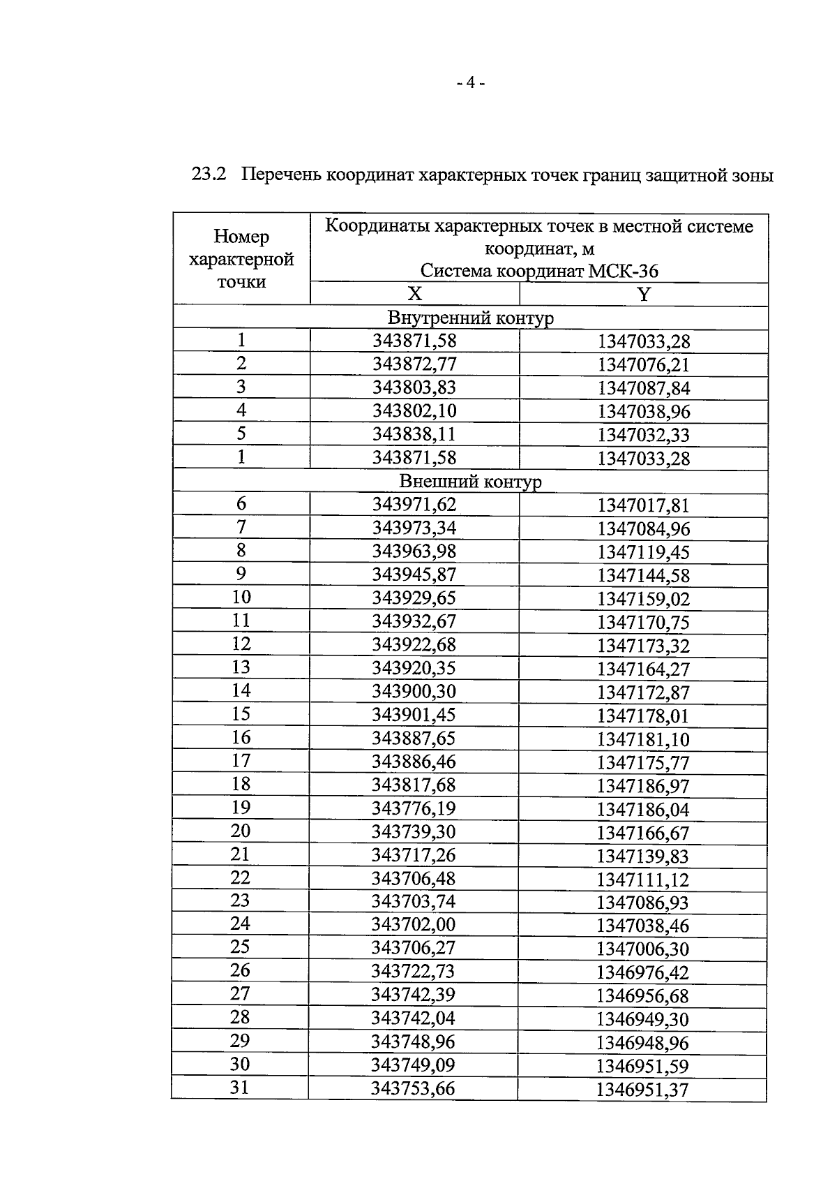
Приказ управления по охране объектов культурного наследия Воронежской области от 12.05.2025 № 71-01-05/97
"О внесении изменения в приказ управления по охране объектов культурного наследия Воронежской области от 28.11.2019 № 71-01-07/326"
(Зарегистрирован 26.05.2025 № 570)
Номер опубликования: 3601202505270003
Дата опубликования: 27.05.2025
Страница №4 из 5:
Увеличить