Официальное опубликование правовых актов
ОФИЦИАЛЬНОЕ ОПУБЛИКОВАНИЕ
Приказ министерства архитектуры и градостроительства Воронежской области от 19.05.2025 № 45-01-04/267
"Об утверждении правил землепользования и застройки Айдаровского сельского поселения Рамонского муниципального района Воронежской области"
(Зарегистрирован 28.05.2025 № 599)
Номер опубликования: 3601202505290002
Дата опубликования: 29.05.2025
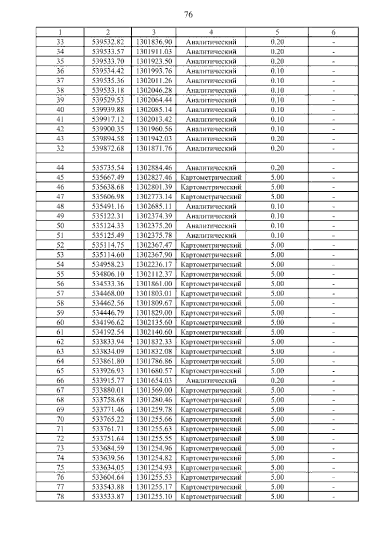
Страница №378 из 411:
Увеличить